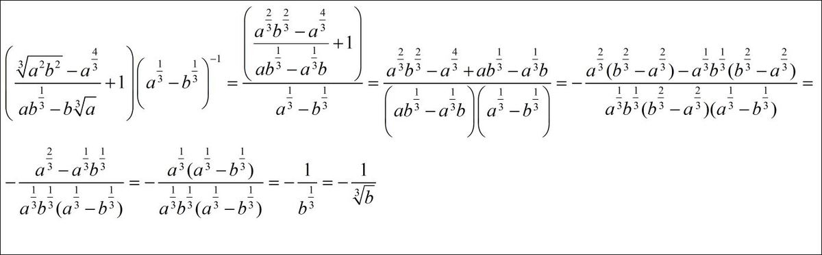
Frac a 4bc cdot frac 2b ac
Венесуэла в марте
Мод road to 56 русификатор
Подработка в интернете без опыта для студентов
1 мегабайт больше чем 1 гигабайт
Текст хейли
Газ под поршнем задачи
Автомеханический колледж им высоцкого
Для симптома пятна характерно
Алгебра 8 класс номер 58 страница 20
Иностранная рулетка раиль
Bintrade club войти
Гага ел
Колтышево солнечногорск автобус
Frac a 4bc cdot frac 2b ac 28 фотографий


























