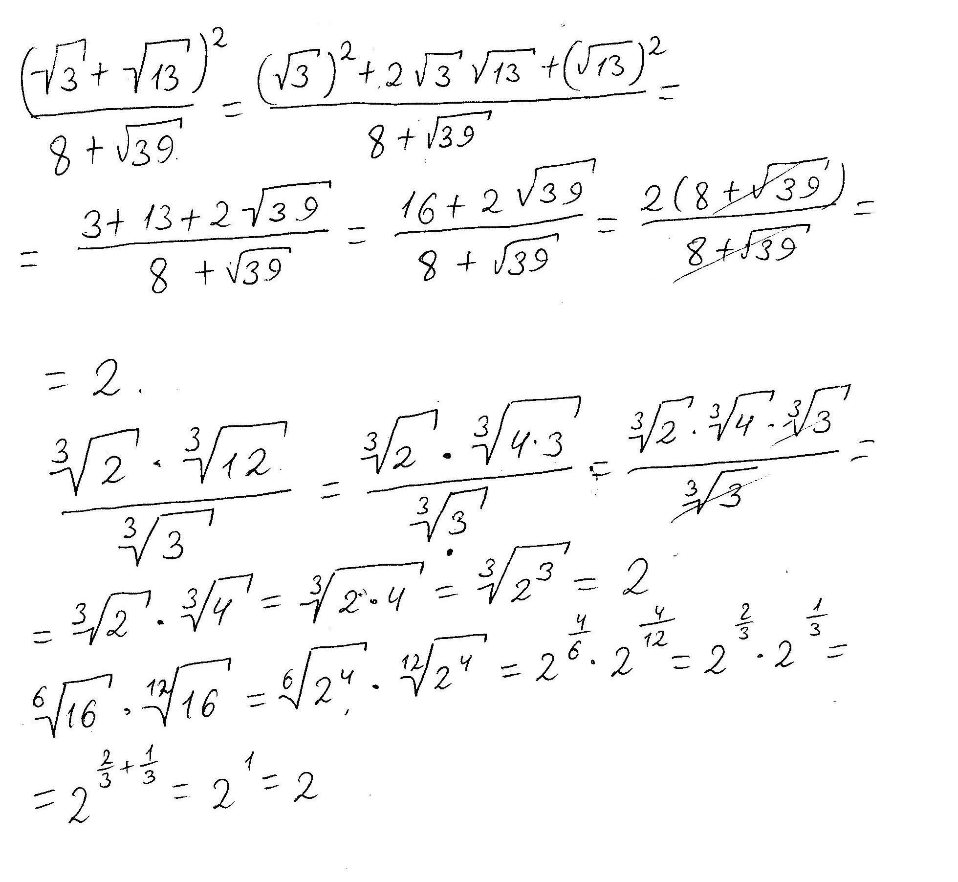
Frac 1 sqrt 361 sqrt 6 25
Водопад лаго наки
Очередь за нами 5
Гостиница на берегу залива
Статус транзакции в обработке
Объект всемирного наследия юнеско доклад 4 класс
Роспуске бревна бензопилой
Topsy игра
Начало экстрасенсов на тнт
А кто должен знать то
Lioh ki
Бакальчук изменила мужу
Фразеологизм про мало
Аэропорт г вологда
Frac 1 sqrt 361 sqrt 6 25 13 фото











