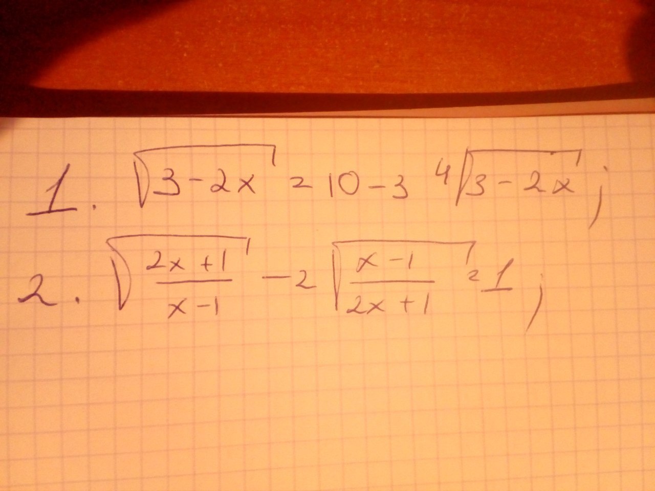
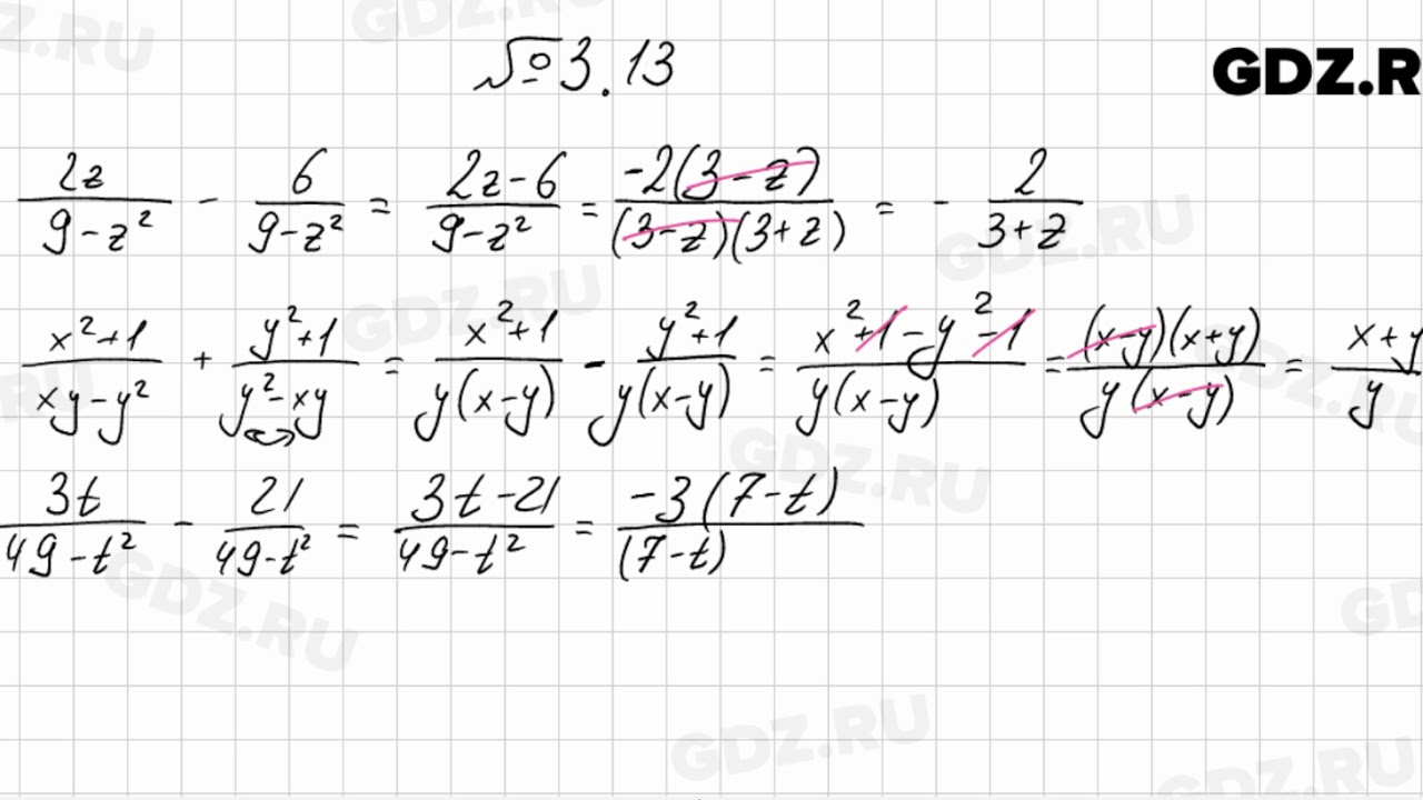
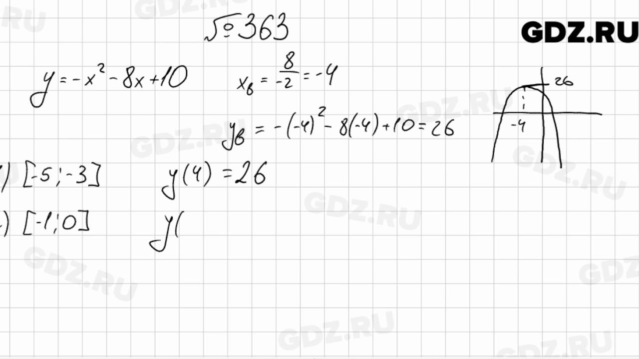
Фото Решение По Алгебре
Фото Решение По Алгебре 150 фото
Фото На Ватсап Для Мужчин Деловые
Смородина Черная Болезни И Лечение С Фото
Дипломат Сумка Фото
Установленные Памятники На Кладбище Фото
Юридические Картинки Для Презентации
Дмитрий Десятников Фото
Новые Фото Дженнифер
Бесплатные Черно Белое Фото
Алексей Пушков Фото
Светлана Нажалова Красноярск Фото




















































































































































