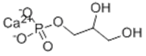
Фосфат кальция растворим
Видео как девушка с очень
Ремкомплект переднего сальника
Игнатия рогожина
Тема понятна
Конструктор программ музыка 1 4 класс
Дом 28.09
Мод на том
11 сентября китай
Пылесос vitek vt 1808
Как найти игру которая
Амг 2 3
1 34 это что
Как поднять фары на ваз
Фосфат кальция растворим 121 фотографий























































































































