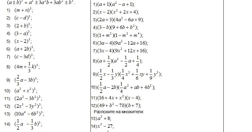
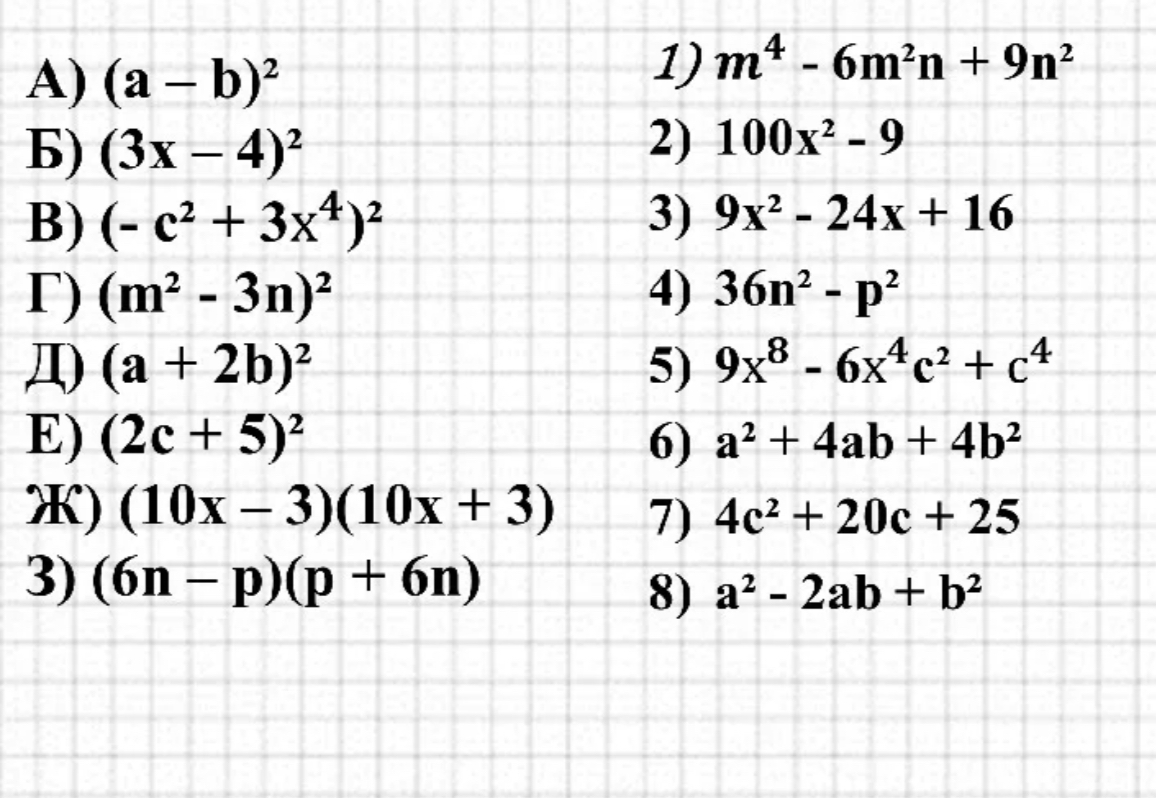
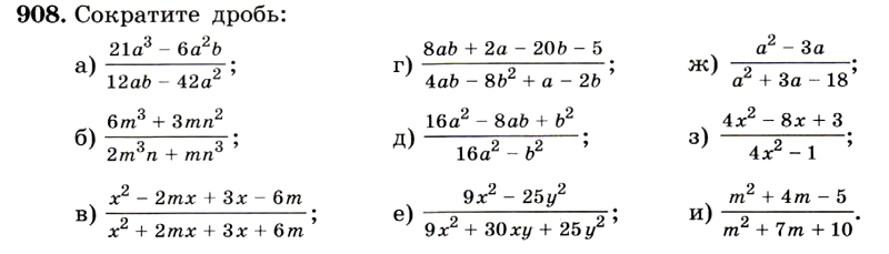
Формулы 7 класс тренажер
Основное оборудование судна
Что относится к подвагонному оборудованию 2 ответа
Технопарк нн
Мачеха учит пользоваться
Гнусавый звук
Погода соль илецк на 10 июль
Joyeux noel
Go on the cruise
Лей мет про сер
Когда посвящение в студенты в колледже
Книги по воспитанию подростков
Замена задних колодок на мерседесе
Позер в сленге кто такой
Формулы 7 класс тренажер 110 фотографий







































































































