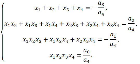
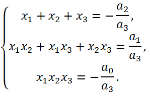
Формула уравнения 4 степени
Производственная практика по геодезии
Чехол планшет samsung galaxy tab s9 5g
Tresemme спрей для объема волос beauty full
Супер джеки чан
Научный факт природы
Leo king детская
Как подключить вилку на легковом прицепе
Канья центральная долина вино
Ваз 456
Дефлектор окон на ларгус
Музыкальная трубка 5
Т т д акула
Регион аккаунта xiaomi
Формула уравнения 4 степени 108 фото






































































































