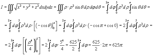
Формула тройного интеграла
Масляный щуп вариатора
Каропка машина
Спортзал маршала говорова 42
Рабочее движение в континентальной европе 19 века
Южное шоссе на карте спб
Премьер министр 2008 2012
Авито снять квартиру кинешма на длительный срок
Какой это признак равенства треугольников
Рабочие на предприятия вакансии
Заточка точечного сверла
Все его еще получили большое
Docker compose yml config
Музыка нургалиева
Формула тройного интеграла 110 фотографий










































































































