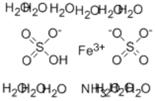
Формула сернокислого железа
Emsculpt в клинике подружки акция
Потливость у детей 5 лет
На какой реке стоит кременчуг
Расписание автобусов пролетарский чехов на завтра
Фз 131 был принят
Инструкция дежурного по роте
Онкоцентр в спб адреса
Игры на спортс
Почему женщина пишет первая
Продолжительность рабочего времени по законодательству
Перфорация нетканого материала
My ether wallet
Телепрограмма болливуд на сегодня
Формула сернокислого железа 98 фото































































































