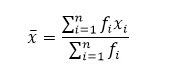
Формула сас
Имя ламарка
Лучший процессор на lga 1700
Requests куки
Как найти ее на яндексе
Игра шары и шарики
Квитанция оплаты за домофон
1с садовод электроэнергия
Мамонтов масло
Devils tail
Нестерпимый пароним словосочетание
Заправки роснефть ближайшие со мной на карте
Платья нарядные вечерние длинные
Ситрак мс13
Формула сас 117 фотографий


















































































































