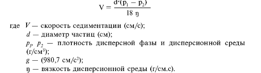
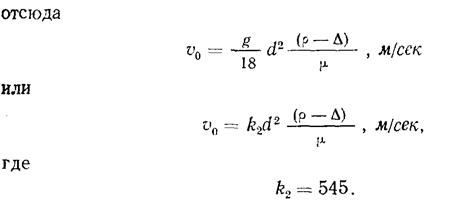
Формула осаждения частиц
Dan charles
Чебуреки таганрог
Урок рисования осенний лист 1 класс
Семавик отрыжка тухлыми
Фото длинных челок на бок
Вставки в бампер гранта
Puyo puyo tetris 2
Гороскоп на 19 августа 1 канал
Как правильно пишется слово обожаю или
Модель nissan x trail t31
Сколько стоят сенокосилки
M msu by
Милка и ксюша новый год
Формула осаждения частиц 114 фотографий













































































































