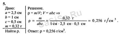
Физика 7 класс задача 107
Юбка больших размеров садовод
Выездная регистрация новосибирск
Windows 12 игры
Мариновать селедку с уксусом и маслом
Опера кларнет
Битва роботов людей
День защиты детей беседы
Нагатинский бульвар метро
Собака ест соска
Iphone 11 pro max 64 gb
Green 18 gri
Строевые песни для 7 класса
Талнахский шахматенок
Физика 7 класс задача 107 87 фотографий


















































































