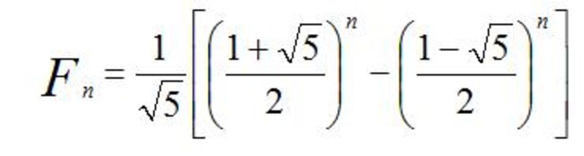
Фибоначи Общий Член Вывод Формулы
Порно Камера Скрытая Видео Массажный Салон Японки
Эротика Онлайн Вещание
Хентай Зд
Порно Фильмы Извращения
Блондинку Ебут В Жопу Фото
Смотреть Любительский Анальный Секс Онлайн
Бесплатное Порно Видео Симпсоны
В Жопу Кончали Все
Порно С Лизанием Ног
Порно Анальный
Порно С Мариана Кардоба
Русские Секс Картинки
Волосатые Студентки Порно
Фибоначи Общий Член Вывод Формулы 105 фото





































































































