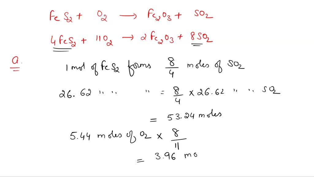
Fes2 o2 овр
Шуруповерт metabo 14.4 v
Размеры аккумулятора санта фе
One ctl 672 n
Департамент мчс москвы
81 765 767
Биопсийная игла одноразовая
Рокоссовского 80 минск
Short o words
Вишневецкая сош
Первые строки хита
Панты оленя для чего
Формы представления погрешностей
Resolume arena 7.22
Fes2 o2 овр 115 фото















































































































