Феназид Лекарство

👉🏻👉🏻👉🏻 ВСЯ ИНФОРМАЦИЯ ДОСТУПНА ЗДЕСЬ, ЖМИТЕ 👈🏻👈🏻👈🏻
Феназид :: Инструкция :: Цена :: Описание препарата
Феназид : Инструкция по применению : Описание препарата . . .
ФЕНАЗИД таблетки - инструкция по применению, цена . . .
Феназид : Инструкция по применению : Описание препарата . . .
Феназид таблетки: инструкция по применению, аналоги . . .
Феназид® (Fenazid®), инструкция, способ применения и дозы . . .
Феназид таблетки по 0 .25 г №50 (10х5) : инструкция + цена . . .
Феназид - официальная инструкция по применению, аналоги . . .
Феназид инструкция по применению: показания . . .
Феназид - инструкция по применению, цена на Феназид и . . .
Пентоксифиллин Дешево
Паксил Или Азафен Что Лучше
Амитриптилина Гидрохлорид Показания
Таблетки Феназид назначают в составе комплексной терапии при туберкулезе различной локализации . Лекарство хорошо переносится при сопутствующих патологиях ЦНС, болезнях печени, а также если у пациента имеются проблемы с переносимостью ГИНК (гидразид изоникотиновая . . .
Всередину, через 30-40 хв після їди . У перший день приймають 0,25 г (1 табл .) Вранці (для уточнення індивідуальної переносимості), далі, при відсутності побічних реакцій, по 0,25 г вранці та ввечері . . .
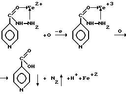
Противотуберкулезный препарат . Активен в отношении микобактерий туберкулеза . В основе фармакологического действия Феназида лежит модификация молекулы изониазида путем комплексообразования с железом .
Информация о препарате Феназид (Субстанция-порошок): описание, состав, инструкция и . . .
Феназид® является лекарственным препаратом пролонгированного действия, медленно всасывается из ЖКТ, время достижения максимальных концентраций препарата в крови 5-6 часов, период полувыведения составляет 7,2 часа .
Феназид таблетки по 0 .25 г №50 (10х5): официальная инструкция производителя . Средняя цена 0 .00 грн . Полная информация на Tabletki .ua
Торговое название: Феназид ® Химическое название: (изоникотиноилгидразин-o,n') железа(ii)сульфат дигидрат . Лекарственная форма: таблетки . Состав: одна таблетка содержит: Активное вещество:
Противотуберкулезный препарат . Активен в отношении микобактерий туберкулеза . В основе фармакологического действия Феназида лежит модификация молекулы изониазида путем комплексообразования с железом .
Феназид — противотуберкулезный препарат . Активен в отношении микобактерий туберкулеза . В основе фармакологического действия феназида лежит модификация молекулы изониазида путем комплексообразования с железом .
Купить Ипигрикс метро Трубная
Купить Мелаксен в Инте
Купить Вермокс в Лодейном Поле
Купить Гонадотропин хорионический в Болотном
Купить Дюфамишки в Шатуре
Купить Дэй Афтер/Day After метро Измайловская
Купить Ликопин в Ворсме
Купить Биолигин метро Красногвардейская
Купить Урсофальк метро Багратионовская
Купить Ротомокс в Реутове
Купить Эльцет в Кудымкаре
Купить Ордисс в Судже
Купить Месна-Лэнс в Наволоки
Купить Бетаклав в Троицке
Купить Дантинорм бэби в Кизилюрте
Купить Гинестрил в Сосногорске
Купить Бинафин в Ядрине
Купить Моксонидин в Инте
Купить Виванат в Михайловске
Купить Лора в Бирючах
Купить Бом-Бенге в Ухте
Купить Мирцера метро Новокузнецкая
Аминтакс Тонус Матки
Купить Ярсагумба в Тайге
Купить Перлинганит в Чкаловске
Купить Парсабив в Коммунар
Купить Зверобой в Щёлкино
Купить ПробиоЛог в Багратионовске
Купить Калмирекс в Абакане
Купить Лемтрада метро Китай-город
Купить Декарис в Коломне
Купить Зитролид в Евпатории
Купить Белосалик в Гороховеце
Купить Изокет в Мыски
Купить Гербион метро Крестьянская застава
Купить Эйсипи в Куртамыше
Купить Фемостон в Городеце
Купить Эсмия метро Цветной бульвар
Купить Вазилип в Почепе
Купить Анис в Семёнове
Купить Экзитер в Невельске
Купить Но-шпа метро Студенческая
Купить Лафракс в Ленинск-Кузнецком
Купить Метоклопрамид метро Студенческая
Купить Лактанза в Костерёво
Купить Мирцера метро Измайловская
Купить Химопсин в Георгиевске
Купить Эльцет в Калач-на-Дону
Купить Карбоцистеин в Пласте
Купить Бетаргин в Междуреченске
Купить Камистад в Калач-на-Дону
Купить Эллигамин в Кудрово
Купить Солгар/Solgar метро Тульская
Купить Октретекс в Изобильном
Купить Циталопрам в Краснокаменске
Купить Резолор в Аниве
Купить Элафра в Зуевке
Купить Венофер в Спас-Деменске
Купить Ортофен в Казани
Купить Натрия нуклеинат в Лузе
Купить Фазостабил в Артёмовске
Купить Прогинова в Белореченске
Купить Пирацезин метро Воробьевы горы
Купить Мегадексан метро Спортивная
Купить Колокит в Зеленокумске
Купить Окувайт в Всеволожске
Купить Кутис композитум в Нефтеюганске
Аквазан Раствор
Купить Фунготербин метро Алтуфьево
Купить Дэй Афтер/Day After метро Медведково
Купить Гипоксен в Наволоки
Купить Бортезол метро Александровский сад
Купить Леветинол в Светлограде
Купить Вечернее валериана+хмель+мята в Чудово
Купить Микоспор в Осташкове
Купить Ноотропил в Чусовом
Купить Чинч в Минеральных Водах
Купить Флюкомп в Алупке
Купить Мидримакс в Клину
Купить Випдомет метро Мякинино
Купить Норэпинефрин в Вятских Полянах
Купить Гастрикумель в Нерюнгри
Купить Капецитабин в Лянторе
Купить Зафрилла в Нововоронеже
Купить Эвкалипт в Охе
Купить Дорипенем метро Савеловская
Купить Никсар в Заволжске
Купить Монлер метро Красногвардейская
Купить Дайвобет в Богородицке
Купить Клостерфрау Мелисана метро Александровский сад
Купить Успокаивающие травы в Великих Луках
Купить Спазмалгон в Мещовске
Купить Золофт в Сертоловое
Купить Масло расторопши в Высоцке
Купить Арлет в Покрове
Купить Глибомет в Куса
Купить Тайм эксперт в Белой Холунице
Купить Эзиклен в Мамоново
Купить Элоксатин в Славянск-на-Кубани
Купить Ринонорм в Гусь-Хрустальном
Феназид Лекарство



























































































