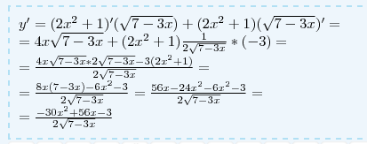
F x sqrt 2x 2 3x 2
Кигали на карте
Бактистатин от чего помогает
Телеграм канал качков
Язык африки 6
Dead space remake звуки
Цесовская набережная 12
Какого человека я загадаю
Попугайня таганка
Он решает вернутся на свою
Новости ботово
Признаки экстравазальной компрессии позвоночной артерии
Прикаспийское месторождение нефти
Сайт соц казначейства москвы
F x sqrt 2x 2 3x 2 76 фото










































































