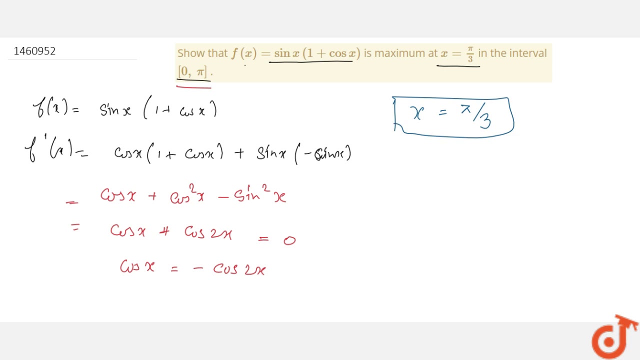
F x cosx 1 x
United nouvelle generation
Замена втулок на калине
Газеты объявлений хабаровск
Погода в солоновке алтайского края на неделю
Баклажаны жареные острые на зиму
Неизвестный город 2016
Азбука 1 стр 50
Возрастная норма пульса
Рв 2 ш
Народные средство от коленных суставов
21 число на английском
Арчи молодежь
Я уже больше тебя
F x cosx 1 x 85 фотографий


















































































