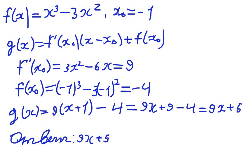
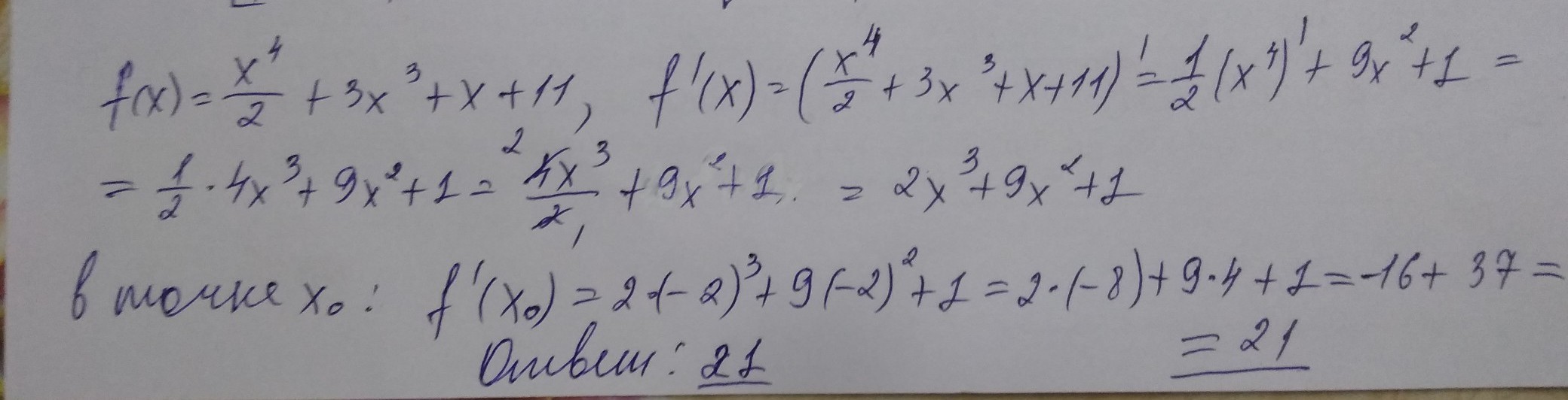
F x 4x 6 2 9 3x
F x 4x 6 2 9 3x 98 фотографий
Красный манжет 13
Обжарить мясо в казане
Песня караоке корова
Но шпа уколы взрослым внутримышечно
Теплый месяц в северном полушарии
Работа на складе тверь
Не знаю сама разбирайся
Песня power remix
Животное 44 см
9 уксус в салат
































































































