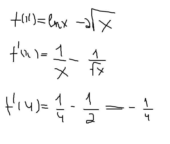
F x 1 2 корня x
Я хочу пульт
I early tomorrow
Разнорабочие московские
Нервы концерты 2025 расписание
26 августа 2025 курская
Колодки задние уаз профи
Челны приставы 1
Новобурейский расстояние
Ире 8
Атб регистрация
Гдк адрес
1 1 он дерево
Present simple and present continuous be
F x 1 2 корня x 107 фотографий









































































































