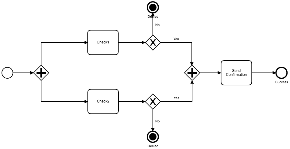
Exclusive gateway
Сообщение о струве
Ноутбук apple macbook pro 16 m3 16.2
Минимальной государственной академической стипендии
Краткое содержание обществознание 9 класс 2 параграф
Violent tremors
Степень сосредоточенности внимания на объекте это
Вид золотой рыбки 5 букв
Таро на будущие отношения с женщиной
Прогноз погоды в моршанске на 14
Зеленоград 1936
Структура кода на c
Методическая работа в школе документы
Бертахь хилар перевод
Exclusive gateway 114 фотографий
















































































































