Example Of Cause And Effect Essay Outline

β‘ ππ»ππ»ππ» ALL INFORMATION! CLICK HERE ππ»ππ»ππ»
Cause and Effect Essay Outline: Types, Examples & Writing Tips
Cause and Effect Essay Outline - Format and Samples
Cause and Effect Essay Outline - Format and Examples
PDF Sample Outline Cause/Effect Essay I Intro
How To Write A Cause and Effect Essay - Outline & Examples
Cause and Effect Essay Examples
Cause and Effect Essay Outline: Types, Examples and . . .
Cause and Effect Essay Outline | Format, Template & Examples
Writing Cause and Effect Essay Outline
Cause and Effect Essay Outline Guide with Tips and Examples
Good Compare And Contrast Essays
Samples Of Essay Introductions
Essay Online Shopping
Cause and Effect Essay Outline Example . Let's take a look at an example . Below, you will find an outline for the topic "The causes of obesity" (Type 1): As you can see, we used a blended strategy here . When writing about the ever-increasing consumption of unhealthy food, it is logical to talk about the marketing strategies that encourage . . . Samples β§ How to Write an Essay Introduction
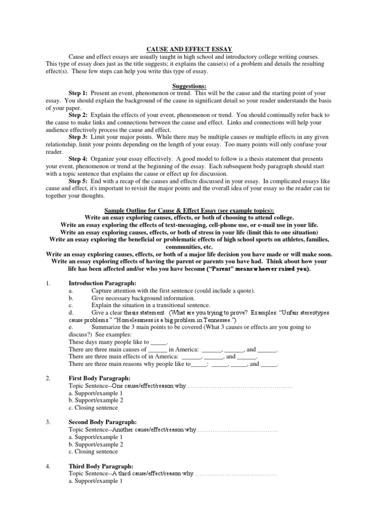
Cause and Effect Essay Outline Format . Typically, a cause and effect essay outline follows a five-paragraph format . However, the number of body paragraphs may vary according to the topic and scope of the essay . Moreover, the cause and effect essay layout contains an introduction, three body paragraphs, and a conclusion .
Cause and Effect Essay Format Example (PDF) Always create an outline and make your writing process easy . Also, don't forget to add the negative effects of the topic in the outline . Writing an essay outline is a critical thing to do . No matter how hard you try, you will still leave some gaps .
Title: Cause and Effect Essay Outline - Format and Examples Subject: Cause and Effect Essay Outline - Format and Examples Created Date: 4/25/2004 10:23:30 AM
A cause and effect essay typically follows a standard outline . It is used to organize and discuss ideas in one place . The sections of the cause and effect essay outline are discussed below in detail .
Sample Cause and Effect Essay : Homelessness . The following example of a cause and effect essay illustrates how this basic structure plays out in practice . Be sure to check out our other essay examples for more guidance as well . The homeless epidemic is a serious problem in nearly every major city across the country .
The first part in any cause and effect essay outline example you'll ever see is the introduction . The job of the introduction is to convince the reader to give your paper a detailed look instead of just skimming it . The introduction to a cause and effect essay should be brief but powerful .
Cause and Effect Essay Outline Examples . The easiest way to grasp a general idea of how a particular type of essay is written is to read other's essay examples . Having a well-written cause and effect essay layout example in hand can help you understand what this type of essay entails .
Writing Cause and Effect Essay Outline . The outline helps to organize the work simplifies the writing process . Time spent arranging the outline will result in time saved writing an essay . The outline also helps to convince the writer that the thesis statements are strong enough and worth of taken position .
Cause and Effect Essay Outline β Successful Writing Tips Dec 11, 2019 . A cause and effect essay is a task assigned to students of most schools and educational stages . There are various cause - effect essay writing guides available today, but we'll focus on the outlining part .
Essay On Organic Farming
Essay Writing How Many Words Per Page
Migration Essay
Shawshank Redemption Essays
Easy Essay Outline
Essay About College Life
Young Goodman Brown Essay
How To Start A Personal Essay For College
Essay On A Good Leader
Can You Write My Paper For Me
Dissertation Dcg Management
Memento Essay
The Fall Of The Roman Empire Essay
Self Concept Essay Examples
Division Essay Example
Example Of Literature Review Essays
Uf Dissertation Template
Stem Cells Essay
Dissertation Economique
Essay About Environmental Issues In The Philippines
Mla Format Essay Quotes Shakespeare
Mba Dissertation Topics In Business Management
Write My Paper For Me Cheap
Essay Spm Bully In School
Edgar Allan Poe Essays
Topics For Compare And Contrast Essays
Who Am I Essay Outline
Analytical Essay Thesis
English Essay Pt3 Example
Learning From Your Mistakes Essay
Policy Proposal Essay Outline
Essay On Compassion
Write My Law Essay
Dissertation Be Embargoed
Essay On Job Satisfaction
Time Is Precious Essay
Essay Writing About Education System In India
References For Essay
Sat Essay Questions Examples
Essays On Travel
Essay On Terrorism In Hindi For Class 10
How Do I Do My Homework On Mymathlab
How To Write Comparison Essay
Essay Environmental Pollution
Outline To An Essay
How To Write A Narrative Essay Introduction
Annotated Bibliography Alphabetical
Stalin Essay
Process And Procedure Essay Example
My School Essay
Types Of Hooks For Essays
Macbeth Essay Topic
Criminal Law Essays
Essay Nas?L Yaz?L?R Marmara Dil Merkezi
Essay On Media Violence
The Myth Of Sisyphus And Other Essays
Dissertation Droit Constitutionnel 5eme Republique
Dissertation Weighting
Dissertation Active Or Passive Voice
Examples Of Transition Words
Essay English Example Spm
Short Story Essays Examples
Chicago Style Essay Example
Satire Essay Topics
Write My Essay 4 Me Reviews
Example Of Biography Essay
Mba Essay Example
Snrs Dissertation Award
Outline Of A Cause And Effect Essay
Writing A College Level Essay
Examples Of A Cause And Effect Essay
Essay On Their Eyes Were Watching God
Fallen Angels Essay
Essay Correction
Research Paper Apa Format Abstract
Dissertation Humanisme
Advertising Essay
Young Goodman Brown Essay Topics
Essays On Compassion
Essay On King Lear
Ethics Essay Examples
Essay My School For Class 10
Tok Essay Plan Structure
Apa Essay Title Page
Do My Statistics Homework Online
Youtube Annotated Bibliography Example
How To Write A Book Report Essay
Essay Starters Middle School
Essay Title Page Format Apa
Dissertation Sample Pdf
Oliver Twist Essay Topics
I Don Want To Do My Homework In French
Essay About Women Empowerment
Essay On My Holiday At The Beach
Essay Order Online
Ambitious Essay
Dissertation Gap
Essays On Industrial Revolution
Great Gatsby Character Analysis Essay
Environment Protection And Conservation Of The Ecosystem Essay
Example Of Cause And Effect Essay Outline







































h-30">bl-30">q-50">















































