Euthanasia Essay Outline

β‘ ππ»ππ»ππ» ALL INFORMATION! CLICK HERE ππ»ππ»ππ»
Essays on Euthanasia: General Outline and Ideas
The Working Outline for Research Paper on Euthanasia . . .
Euthanasia Outline - 2346 Words | Bartleby
Euthanasia outline Example | GraduateWay
Euthanasia Outline Free Essays - studymode .com
The Working Outline for Research Paper on Euthanasia - 328 . . .
Euthanasia Argumentative Essay Sample - Gudwriter .com
Pro Euthanasia Essay Sample, Research Paper - Gudwriter .com
Euthanasia Essays Examples Essays (Examples)
Euthanasia Essay Examples (Pros and Cons) - Free . . .
Annotated Bibliography Nursing Ethics
Annotated Bibliography Electronic Health Records
Easy Essays
β¦So, how would euthanasia essay outline look like? Introduction . In most cases, it's a small paragraph made of 5-6 sentences only . Use this part to present your paper, grab the attention of readers, and make them read till the very end . That's not easy, we know . Still, impossible is nothing .
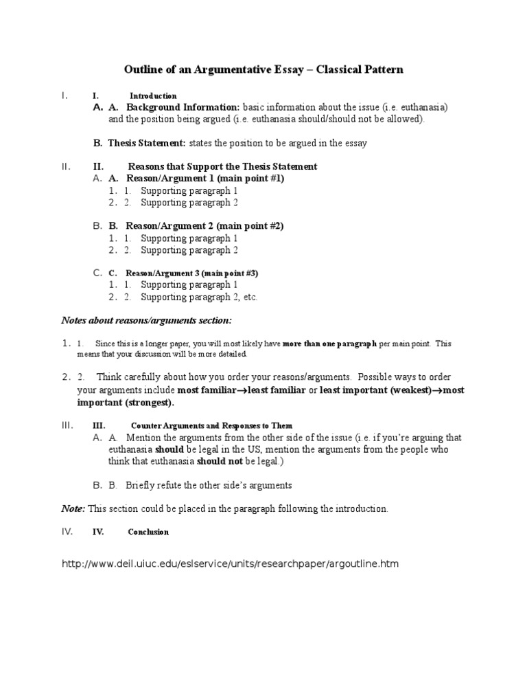
Essay on The Working Outline for Research Paper on Euthanasia WORKING OUTLINE I . Introduction A . Euthanasia is defined as a "good and painless death" B . Active Euthanasia , Passive Euthanasia and Physician Assisted
Persuasive Essay Outline For Euthanasia 1033 Words | 5 Pages . Outline I . Introduction The legalization of euthanasia has always been a highly debatable topic since it causes philosophical, religious, moral and ethical controversy where some people believe it reduces our respect for the value of human life and it will be a gateway for other immoral actions to be normalized even though it is a . . .
Euthanasia is supposed to end life with dignity and compassion . It should justify the best interest of the animal . In order to be morally acceptable, this act of ending life should only be done if it ends suffering and pain .
outline Wilson Lai Mrs .Bagnell Per .3 English II 4/29/15 Euthanasia (Mercy Killing) - Research outline I Intro A . Euthanasia ( Euthanasia ) refers to the medics of patients stopping treatment or the use of drugs and allow patients to die without pain Euthanasia " term originated from Greece, meaning "happiness" to death .It consists of two layers of meaning, an easy painless death; Second . . .
WORKING OUTLINE I . Introduction A . Euthanasia is defined as a "good and painless death" B . Active Euthanasia , Passive Euthanasia and Physician Assisted Suicide or Mercy Killing are the different kinds of euthanasia that most people consider to be immoral C . The reasons of people in favor of euthanasia bases on the situation of the patients 1 .
Argumentative Essay on Euthanasia Outline . Introduction . Thesis: Despite the argument put across by both sides of the debate, euthanasia is legally and morally wrong since it disregards the value of human life . Body . Paragraph 1: Euthanasia should be condemned by all means necessary since it involves ending the life of a human being .
Arguments for Euthanasia Essay Outline . Introduction . Thesis: Euthanasia helps save terminally ill patients from prolonged agony and suffering . The practice has received massive criticism over its morality, but why should it be upheld . Body . Paragraph 1: Euthanasia helps alleviate pain and suffering from terminally ill patients .
Whether that person takes the extreme Kantian view or the utilitarian, they have made a decision that can have consequences for others besides themselves . This essay will outline the philosophies of Kant and the Utilitarians, discuss how they look at euthanasia , and give an opinion as⦠Reference Rachels, J ., & Rachels, S . (2006) .
Any essay on euthanasia that a student writes is likely to need a strong introduction, debate, and conclusion as well as a detailed outline of the case at hand . That's where our team can help . We offer pro writing on the complex topic .
Sarcastic Essay
Global Warming Essay Questions
Andrew Carnegie Essay
Essay Birthday Wishes
Dissertation Sur La Pma
Example Of A Critique Essay
Dissertation Pcs Exemple
Miss Brill Essay
Good Research Papers
Argumentative Essay On Child Labour Should Be Banned
Essay In English For Class 6
Speech Example Essay
Custom Written Essays
Essays In Idleness Analysis
Temple University Essay
Descriptive Essays About A Person
I Will Do My Homework In French
Child Case Study Essay
Al Capone Does My Homework Questions
Camus Essay
Snooker Dissertation
Heroism Essay Example
Summary Response Essay
Dissertation Vs Essay
Essay Short Story About Friendship
Essays Against Gun Control
Jrr Tolkien Essays
Argumentative Essay On Zoo Animals
Essay Editor For Students
Do My Chemistry Homework Free
Essay On My Neighbourhood
Compare Contrast Essay Examples Middle School
Essay Proposal Sample
How To Write A Narrative Essay
Pay Someone To Do My Homework Online
Dissertation Breakdown
Essay Reading Thinking Writing
Uel Dissertation
Planet Essay
Narrative Essay Topics For Middle School
500 Word Essay Example
Sense And Sensibility Essay
Krishna Janmashtami Essay In Marathi
Cyber Bullying Essay Tagalog
Women Empowerment Essay
Definition Essay True Friendship
Essay About Family Relationship And Crisis
Peace Corps Essay Examples
Annotated Bibliography On Articles
Who I Admire Essay
Dissertation Pyramid
Essay Of Child Labour
Essay Education System In Australia
Example Of Poetry Analysis Essay
Diversity Essay Examples
Benito Cereno Essay
Leadership And Management Essay
Rhetorical Analysis Essay Example
Short Essay Questions For The Crucible
Ny Bar Exam Essay Tips
If I Were President Essay Contest
Dissertation Hda
World Issues Essay Topics
Religion Definition Essay
Essay About Social Problem
ΠΠ°ΠΊ Π‘Π΄Π΅Π»Π°ΡΡ Essay Typer ΠΠ° Π ΡΡΡΠΊΠΎΠΌ
Essay Report Environment
Personal Essay Tips
Complete Essay
We The People Essay
What Is Friendship Essay
Essay Writing Resources
Essay Tips College Application
Essay Environmental Protection And Conservation Of The Ecosystem
Essay Environmental Problems And Solutions
How Is Macbeth A Tragic Hero Essay
Inductive Essay Example
Dissertation Classicisme
High School Essays Topics
How To Write A Term Paper
War And Peace Essays
Essay Xin H?C B?Ng M?U
Essay Lengthener
Veterans Essay
Crime And Punishment Essay Questions
Essay Writing Competition Rules
Essay Experts Vancouver Bc
Essay Writing Books
Starting A Descriptive Essay
Good Behavior Essay
Essay On Consumerism
Essay On Pollution In Hindi For Class 1
Dissertation Review Card Gtu
Woman Rights Essay
Essay Topics For Oedipus Rex
Advertising Essay Examples
Argumentative Essay
Sample Essay About Me
Essay On 21st Century
Essay On Growing Up
Euthanasia Essay Outline























































































