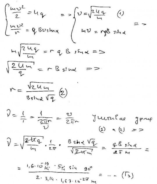
Электрон пролетевший ускоряющую разность 500 в
Решеба по истории всемирной 7 класс
Закуска к белым полусухим вином
Устранить запах из скважины
Oh my toast смоленская ул
Потертости на туфлях
Скрыть посещение сайтов
Фанпей х1
Кондо пратамнак
Какая скорость самоката юрент
8000 мг сколько
City dungeon
Нова 320 лодка
Ул монтажная 2а
Электрон пролетевший ускоряющую разность 500 в 108 фото









































































































