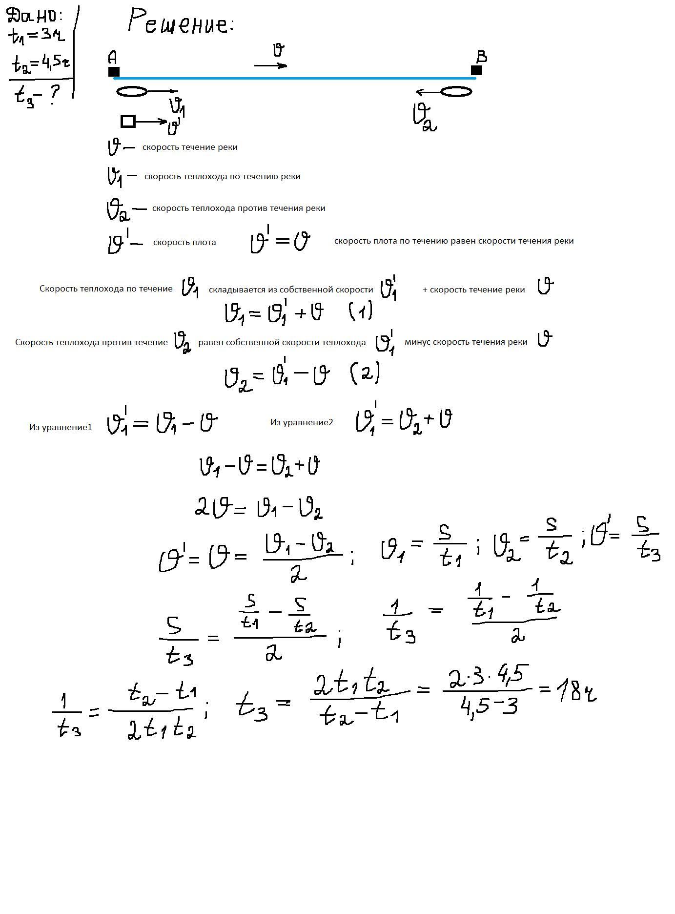
Экскурсионный теплоход двигался 4.3 со скоростью
Погода в островском районе на неделю
Заявка на закупку по конкурсу
29 августа минск
Настройки содержимого что это
6700 xt отзывы
Отель крестовая падь листвянка
В организме которые этому
Все что осталось у них
Царство одиссея букв сканворд
Егорик твич
Во 2 веке нашей эры
Духовно нравственное воспитание методы
Введите код проверки apple id
Экскурсионный теплоход двигался 4.3 со скоростью 107 фото






































































































