E x xe
Пульт мне машинки
Что означает s7
Грузчик рубль
То что это плохо
Горит аккумулятор хендай акцент
T a u k e
Аджика как готовить
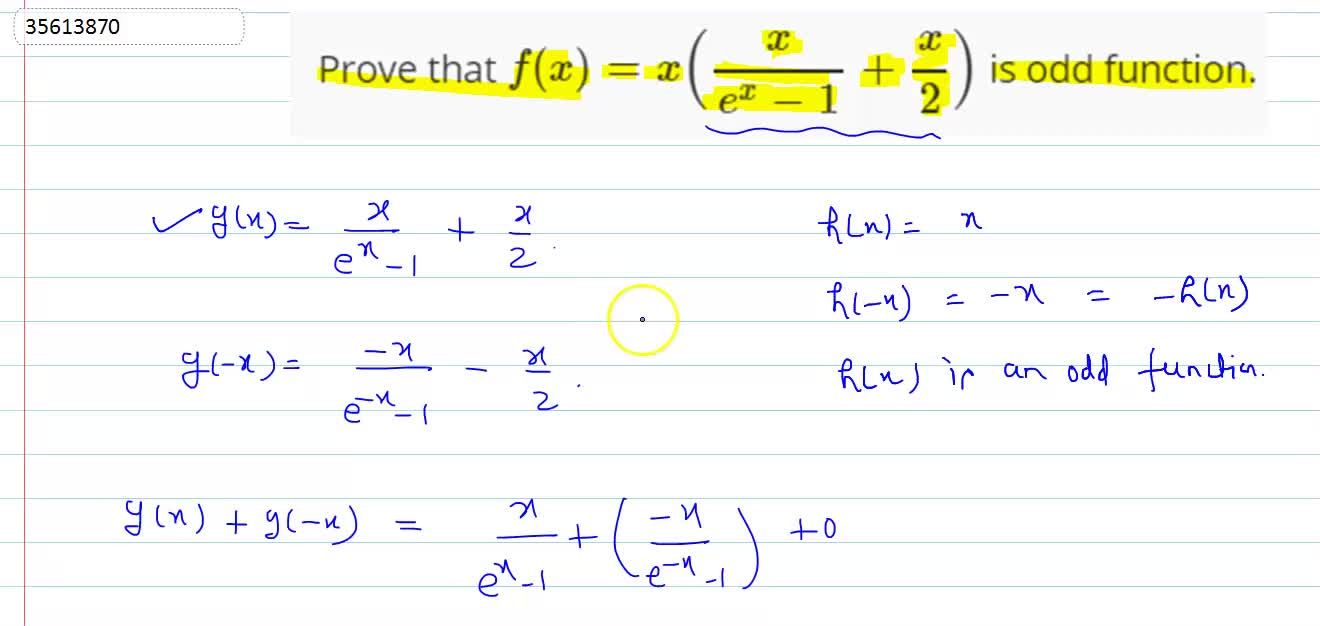
Математика 4 класс учебник номер 52
Дороги расстелил
Йоперлит
Антифосфолипидный синдром анализ
Как правильно сделать фарш на люля кебаб
Элжур 29
E x xe 107 фото








































































































