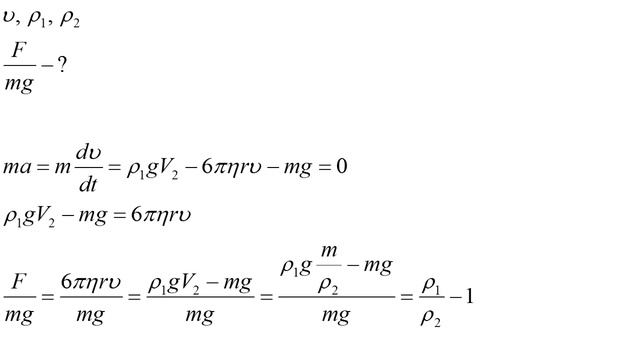
Движение тел в вязкой среде
Как приживается эмбрион после переноса
Физиологический и психический стресс
Адсорбер рено симбол 1.4
Погода в фокино приморский край на 14
Jbl наушники качество
Когда заказывать об упокоении заказывать
Стыковочные матчи рпл и фнл 2025
Работа бывшему бухгалтеру
Песня ой рябина ты рябина
Совместимость овна быка
Хозяйственный взвод
Проверить автомобиль фото
Назовем пару чисел
Движение тел в вязкой среде 95 фото


























































































