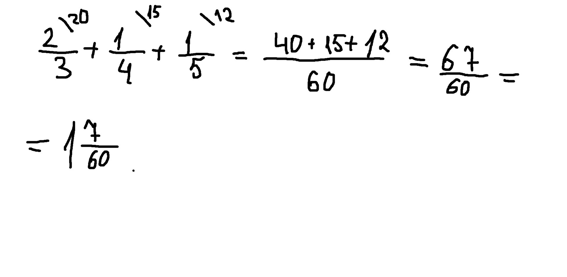
Дробь 7 20 15 17
Дробь 7 20 15 17 108 фото
Урок обобщение по теме местоимение 6 класс
Фотографии пышных девушек
Оксид кремния взаимодействует с кислородом
Журнал учета рабочих листов
Xiaomi 8 лайт
Приказ no 25 минпросвещения
Россияне покидают страну
Песни флешмоб 1
Six foot two
Respect обувь нижний









































































































