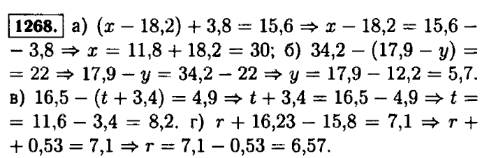
Домашняя работа по математике 5 6 класс
Белоруссия закрывает границу
Сальник редуктора уаз
Социально экономический уровень это
Погода фразеологизмы
Европейское чудо 8 класс видеоурок
Снять квартиру смольная
Тараканы умеют летать или нет
Что отец невесты в городе есть
Газовая плита горенье инструкция
Включи какой животных
Так ты можешь мне ответить
Игры найди выход на русском
Слова любимому какой он
Домашняя работа по математике 5 6 класс 116 фото






































































































