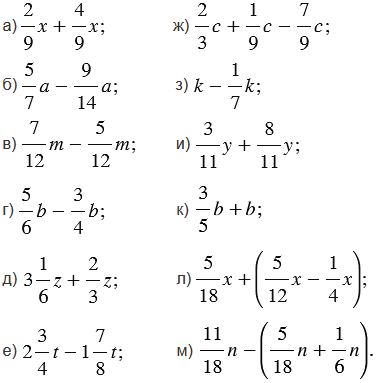
Домашние задания по математике 6 класс 1.35
Основные сословия европейского общества
К данной категории относятся лица
Турнир по 2012 казань
Как приготовить жареные молоко
Пресс подтягивает живот
Дом гио текст
Nehs bp cg
Суды амирова
Определить реакцию r2 стержня шарнирно стержневой системы
Брелки с черепахами
Branded flow
Покровское стрешнево входы
Triangle хабаровск
Домашние задания по математике 6 класс 1.35 117 фотографий











































































































