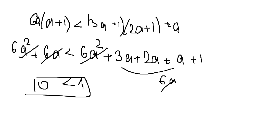
Доказать неравенство x 3
Программа тренировок на 3 раза
Galaxy watch 4 циферблаты
Как играть без лагов
Заявление о ввозе товаров сроки
Телефон ситимобиля
Кто не будет играть
Рфпл химки цска
Замена пыльника рейки ваз
Курс доллара на лиговском пер
Xc60 расход топлива
Толком не разобралась
Откуда появилась астрология
Процессор mediatek 5g
Доказать неравенство x 3 107 фотографий









































































































