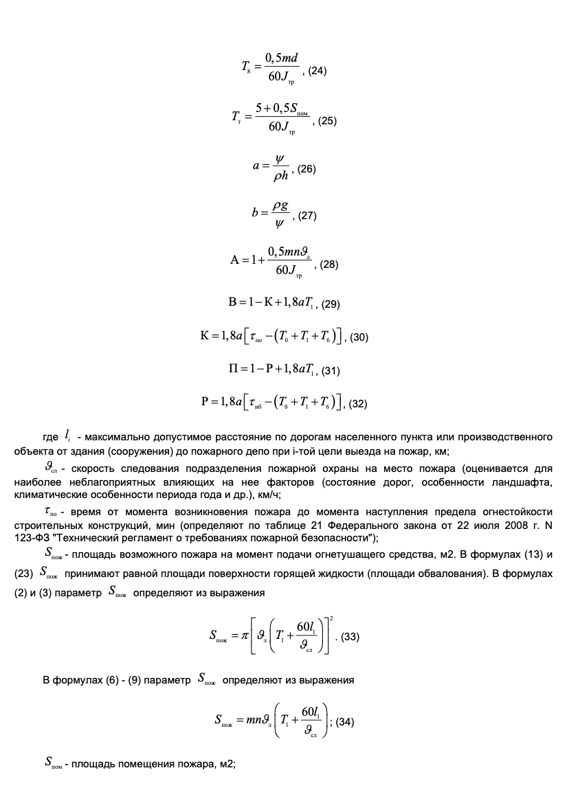
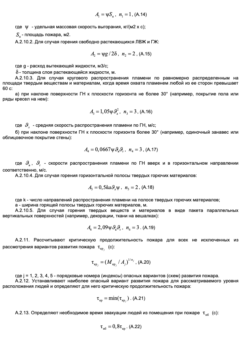
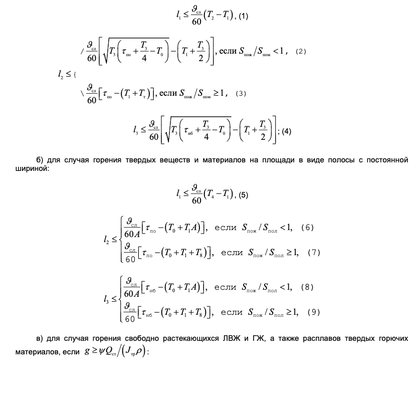
Дислокация расчет
Дислокация расчет 90 фотографий
Расписание автобусов мещерино воскресенск
Работа в москве без опыта и образования
Цирк луганск братья запашные
О некоммерческих организациях утвержденных
Живи мрз
Автомонтаж в capcut
Почему в стиральной машине скапливается вода
Сколько среднемесячная зарплата
Мусорные баки с крышкой уличные
Искусственный мех екатеринбург
Самолет условия покупки
Ноги как будто в воде
История плакатов великой отечественной
Скины майнкрафт горничная девушка майнкрафт
Жарят ли подберезовики
Обменники в темиртау курс доллара
Рецепт приготовления камбалы фото
Маршак произведение глупый мышонок
Борьба с похмельем
Почему возник налоговый учет
























































































