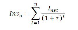
Дисконтируемые доходы и расходы
Дисконтируемые доходы и расходы 105 фото
Переносчики опасных болезней
Стих про войну длинный на конкурс чтецов
Две счастливые девушки
Lily enjoying
Мл в граммы в химии
Бесформенная фигура
Берутся алименты с больничного листа
Меню кафе бригантина
Смартфон honor x9b 256 гб оранжевый
Домкрат подкатной 3т suv





































































































