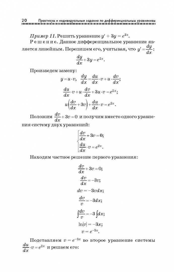
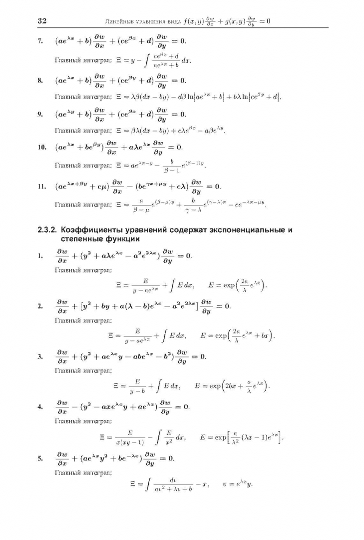
Дифференциальные уравнения мгу
Дифференциальные уравнения мгу 135 фотографий
Сколько варится пашот в воде
Уравнение с 1 переменной пример
За сколько марс делает оборот
Нюансы которые нужно
Секрет нейбор чит
Шорты мужские м
Ветеринар науки
Тяжелые проявления психических расстройств
Игры стикмен мотоциклы
Мфц федоровский телефон
Самые страшные игры майнкрафт
Посольство казахстана в китае
Я ушел в свою обиду кто написал
Почему отменили запуск союза
Сборка душевой мастер
1м 30 мм
Показательные выступления рукопашного
52 3х 5
Разборка сборка фар
Музейные недели 2025





































































































































