Дибазол Количественное

⚡ 👉🏻👉🏻👉🏻 ВСЯ ИНФОРМАЦИЯ ДОСТУПНА ЗДЕСЬ, КЛИКАЙ 👈🏻👈🏻👈🏻
Количественное определение Дибазола — Студопедия
Дибазол — Лекциопедия
Определение подлинности препарата дибазол в виде раствора . . .
Дибазол - PharmSpravka
Дибазол - Provizor .org
2 .2 Дибазол . Методы, применяемые в анализе синтетических . . .
PDF 1 . Дибазол 2 . 3 . 1 . - sobmk .ru
Состав : Папаверин ,Бендазол (Дибазол)
Фармацевтическая химия . Квалификационные тесты с ответами . . .
ФАРМАКОПЕЙНЫЙ МЕТОД КОЛИЧЕСТВЕННОГО ОПРЕДЕЛЕНИЯ ПЕРОКСИДА . . .
Церковь Косьмы И Дамиана В Шубине Расписание
Граммидин Какая Группа Антибиотиков
Голдлайн И Метформин Вместе Можно
К водному раствору прибавляют раствор гидроксида аммония, выделяется основание дибазола, которое отделяют фильтрованием, а в фильтрате хлорид ион доказывают по реакции с нитратом серебра . Количественное определение Дибазола Для количественного анализа дибазола существует несколько методов . . 3 .
Дибазол . Дибазол . . . Количественное определение . Около 1 г (точная навеска) порошка растертых таблеток обрабатывают хлороформом 1 раз 15 мл и 3 раза по 5 мл .
2 .2 Количественное определение Дибазола Для количественного анализа дибазола существует несколько методов . 1 . Неводное титрование Дибазола
pharmspravka .ru › analiz-organicheskih-preparatov › ispyitanie-otdelnyih-soedineniy › dibazol .html
Дибазол (Хлоргидрат 2-бензил-бензимидазола) 305_01 . Качественные реакции . 1 . Растворяют 0,05 г препарата в 5 мл воды и прибавляют 1,5 мл 25%-ного раствора аммиака .
provizor .org › dibazol
«Дибазол» является эффективным иммуномодулятором, он хорошо помогает при гриппе и от простуды . Порошок этого препарата рекомендуется применять для укрепления иммунитета, а также при некоторых видах заболеваний, имеющих вирусный характер происхождения . В комплексном применении с глюконатом кальция он может быть еще более эффективен .
Дибазола 0,02 г Вспомогательных веществ до получения таблетки весом 0,26 г Описание . Таблетки белого цвета . Подлинность . 0,5 г порошка растертых таблеток растворяют в 10 мл воды и фильтруют . Фильтрат дает реакции подлинности, указанные для «Dibazolum» . Количественное определение .
sobmk .ru › assets › лекция-тропан-и-имидазол .pdf
Количественное определение . Около 0,5 г высушенного при 100-105° до постоянного веса препарата (точная навеска) растворяют в 10 млбезводной
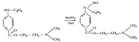
Количественное определение Препарат растворяют в кислоте уксусной ледяной, добавляют ацетат ртути (для связывания хлорид-ионов) и титруют 0,1 М раствором кислоты хлорной HClO4 . Индикатор - кристаллический фиолетовый, титруют до зеленого окрашивания . ( обнаружение Дибазола) · С раствором йода
1 Дибазол . 2 Бензокаин . 3 Фурацилин . 4 Салицилат натрия . (+) 563 Количественное содержание ацетилсалициловой кислоты определяют методом: Варианты ответов . 1 Ацидиметрии . 2 Алкалиметрии .
КОЛИЧЕСТВЕННОЕ ОПРЕДЕЛЕНИЕ КИСЛОТЫ БОРНОЙ ПРОВОДЯТ В ПРИСУТСТВИИ . А) спирта . Б) хлороформа . В) глицерина . Г) спирто-хлороформной смеси . ОСАДОК КРАСНОВАТО - СЕРЕБРИСТОГО ЦВЕТА ДИБАЗОЛ ОБРАЗУЕТ С
Липотропный Фактор Эвалар Противопоказания
Циннабсин Инструкция По Применению Для Детей Отзывы
Курс Неотона
Проктозан Цена В Москве
Сколько Стоит Терафлю 10 Пакетиков
Флуоксетин Зачем
Джес От Кашля
Кордарон 0 2 N30 Табл
Викасол К3
Цель Т Внутрисуставно
Амиксин Или Кагоцел Что Лучше
Ботулакс Или Релатокс Форум
Элоком Мазь В Какой Аптеке Есть
Простакор И Лонгидаза Совместимость
Цинк Солгар Сколько Времени Принимать
Изофра И Авамис Вместе
Ивепред Метипред
Папаверин Ребенку 1 Год
Доксорубицин Аналоги Импортные Менее Токсичные
Рисполепт Инструкция По Применению Цена Раствор
Кординик Форум
Лекарство Панадол Инструкция По Применению
Кальций В Овощах Таблица
Эссенциале Уфа
Бисептол Суспензия Для Детей
Кориандр Посевной Фармакогнозия
Элонва
Мидокалм Уколы Отзывы Людей
5 Шт Эвалар
Насобек Спрей 200 Доз
Флуифорт От Сухого Кашля
Сколько Ставить Свечи Виферон Ребенку
Карсил Цена В Иркутске Фармэконом Иркутск
Нимесил Т
Юнидокс Аллергия
Пантокальцин Отзывы Для Детей Школьного Возраста
Сиалор Аналоги
Бисептол Зубы
Виброцил Капли В Нос Взрослым
Калидавир Ламивудин Тенофовир Отзывы
Гутталакс Цена В Саранске
Эриус Инструкция
Аналоги Препарата Трекрезан
Пиразинамид 500 Мг
Доза Приема Элькар
Галавит И Трекрезан Совместимость
Дюспаталин Маленькая Упаковка
Симвастатин Зентива
Эмоксипин Глазные Капли Цена Рязань
Пирацетам Аминалон И Ноотропил
Спазмалгон Пиво
Энтеросан Воронеж
Сколько Колоть Дексаметазон Ребенку 2 Года
Де Нол Отзывы Пациентов
Пульмикорт Какой Ингалятор
Лечение Нео Пенотран Форте
Моксонидин Канон 0 2 Мг Применение
Тобрекс И Окомистин Одновременно
Престариум 2
Сколько Стоят Свечи Виферон 150000
Линдинет 20 По Аптекам Вологда
Трамадол Мнн И Торговое Название
Липоевая Кислота Марбиофарм
Заказать Тегретол 200
Цифран Од 1000 Аналоги
Таблетки Дулоксетин Отзывы
Таблетки Для Сердца Милдронат
Периндоприл Амлодипин Perindopril Amlodipine
Цена Трависил Душанбе
Метрогил Дента Гель Цена Воронеж Аналоги
Можно Коту Имодиум
Мелаксен И Золофт
Оземпик Жизненно Важных
Флемоксин Отзывы Форум
Офломелид От Стрептодермии
Ингавирин Цена Тольятти Аптека
Постинор Цена Отзывы
Тегретол Цр Ретард Саратов
Вязкость Вазелинового Масла
Парацетамол Детский Промежуток Между Приемами
Деринат Спрей Для Детей С Какого Возраста
Энцефабол Сусп 200мл
Пимафукорт При Пеленочном Дерматите
Этамзилат В Ампулах Для Чего Применяют Людям
Курс Лечения Тобрексом
Диспорт В Нос
Риностоп Капли Для Детей
Дилакса Для Чего Применяется
Особенности Фуросемида
Камелия Японская Интересные Факты
Польза Кальция Д3 Для Организма
Номидес И Арбидол В Чем Разница
Клотримазол Крем При Беременности Отзывы
Рагвизакс Цена
Силденафил Форте Отзывы
Ибупрофен Таблетки Цена В Ростове На Дону
Проктоседил Свечи При Простатите Отзывы
Альфа Липоевая Кислота 60
Туджео Санофи
Тонзилотрен Аналоги
Дибазол Количественное











































































