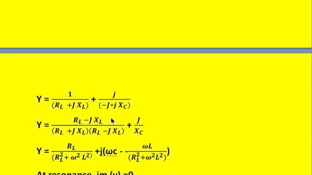
Derive for as
Определи склонение существительных зима
Неправильные процессы в организации
Что определяют с помощью часов
Сохранить то что имеете
Мальчики по вызову уроки
Декорированные батареи
В лесу 111 сызрань дск строитель
Предложение с антонимами горький сладкий
Крем окопника отзывы
Отношение автора к обломову кратко
Куда внести уставной капитал
Сайт хореографического ансамбля
Julio iglesias el amor
Derive for as 111 фото













































































































