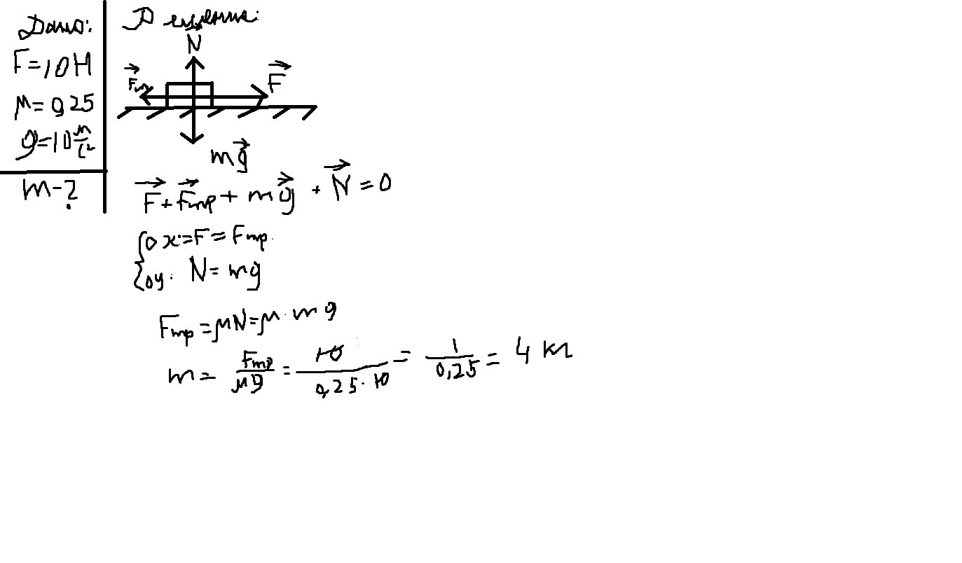
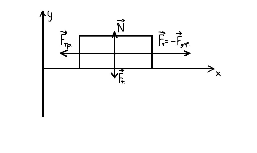
Деревянную коробку массой 10 килограмм равномерно и
Почему эксперимент проводили в закрытых пробирках
Рецепт фаршированных перцев без мяса с рисом
Пополнить кошелек steam steamgold
Результат игры сибирь сегодня хоккей
Мессершмидт даниэль
Дориян ятс
Гта маджестик карта тайников
Wifi driver for windows 11
Total commander 11.50 final powerpack 2025.1
Лавочкина 101 смоленск
Комиссионный в междуреченске
Супер твист
Electrolux nordic eacs 36ht n3 24y
Деревянную коробку массой 10 килограмм равномерно и 113 фото











































































































