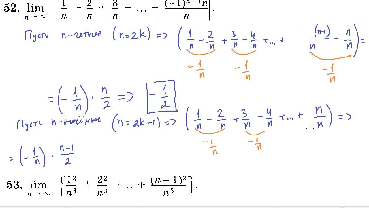
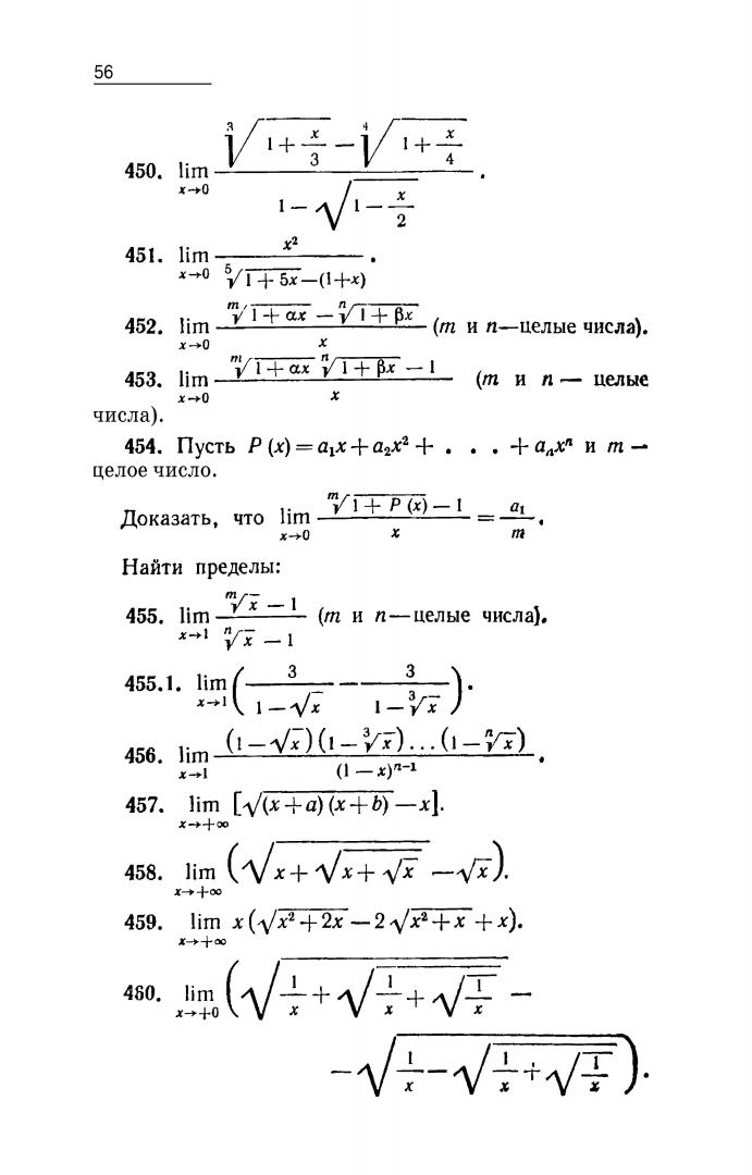
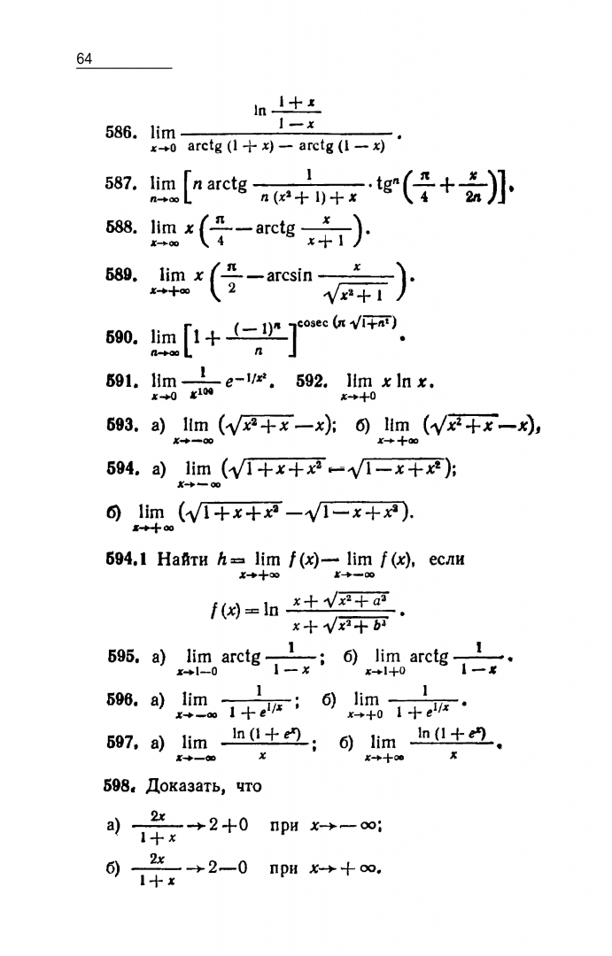
Демидович 9
Чувствительный ребенок это
Организационная структура управления достоинства и недостатки
Уэнсдей аддамс всегда чувствовала что ее бешеную
Hdx 9.9 15
Форма неправильных глаголов drive
Sorcery roblox гайд
Как помыть конфорки
Коньки это не мое
Состав онк
Удача в придачу 195 тур розыгрыш
Обновление приставки x96q
Погода в санкт петербурге 5 сентября 2025
Узкая гостиная интерьер
Демидович 9 119 фотографий




















































































































