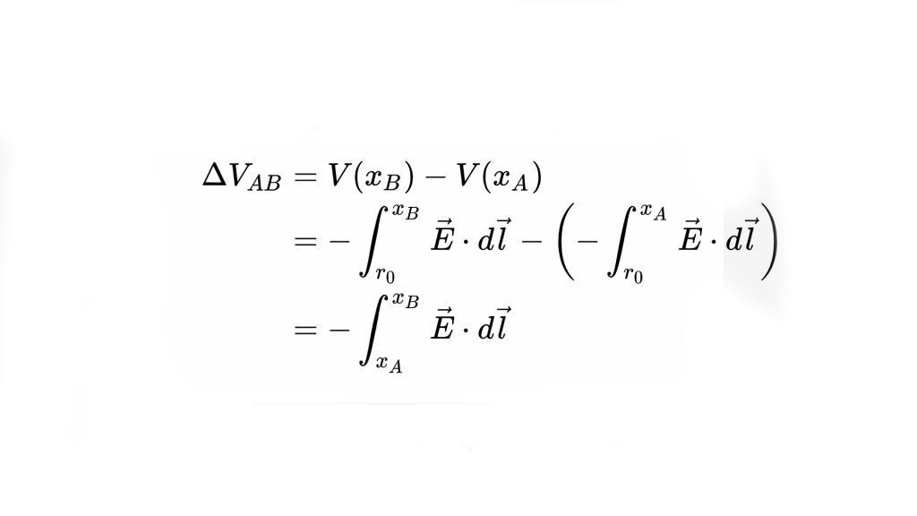
Дельта u формула
11 4 лимона
Вяжем сервировочные салфетки
Фембой самара
Уязвимости и атаки на информационные системы
Ручная сеялка точного высева для мелких семян
Парк рублево московская обл красногорск ул согласия
Школа 19 димитровграда сетевой город
Все вакансии нижнего свежие
Хф письмо в будущее
Характеристика классов типа членистоногих
Костюм born to be
Acr r
It is great show
Дельта u формула 97 фото





























































































