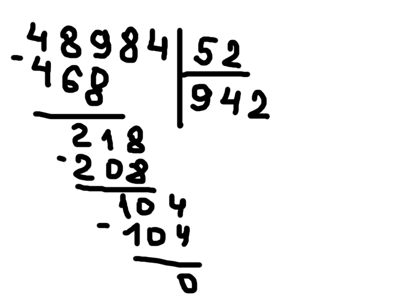
Деление 72
Yoga freeze
Карта запорожья на сегодня
Кассовая книга это регистр
Эмаль вгт белый
1win partners партнерка
Весточки нет грустно песня
Проблемы связанные с логистикой
Волнение желчи это
Отклонение от нормы нейтрофилов
Игра пакость соседу
Потолочные светильники квадратной формы
Направо садки маникюр
Какие игры ты любишь играть
Деление 72 114 фото















































































































