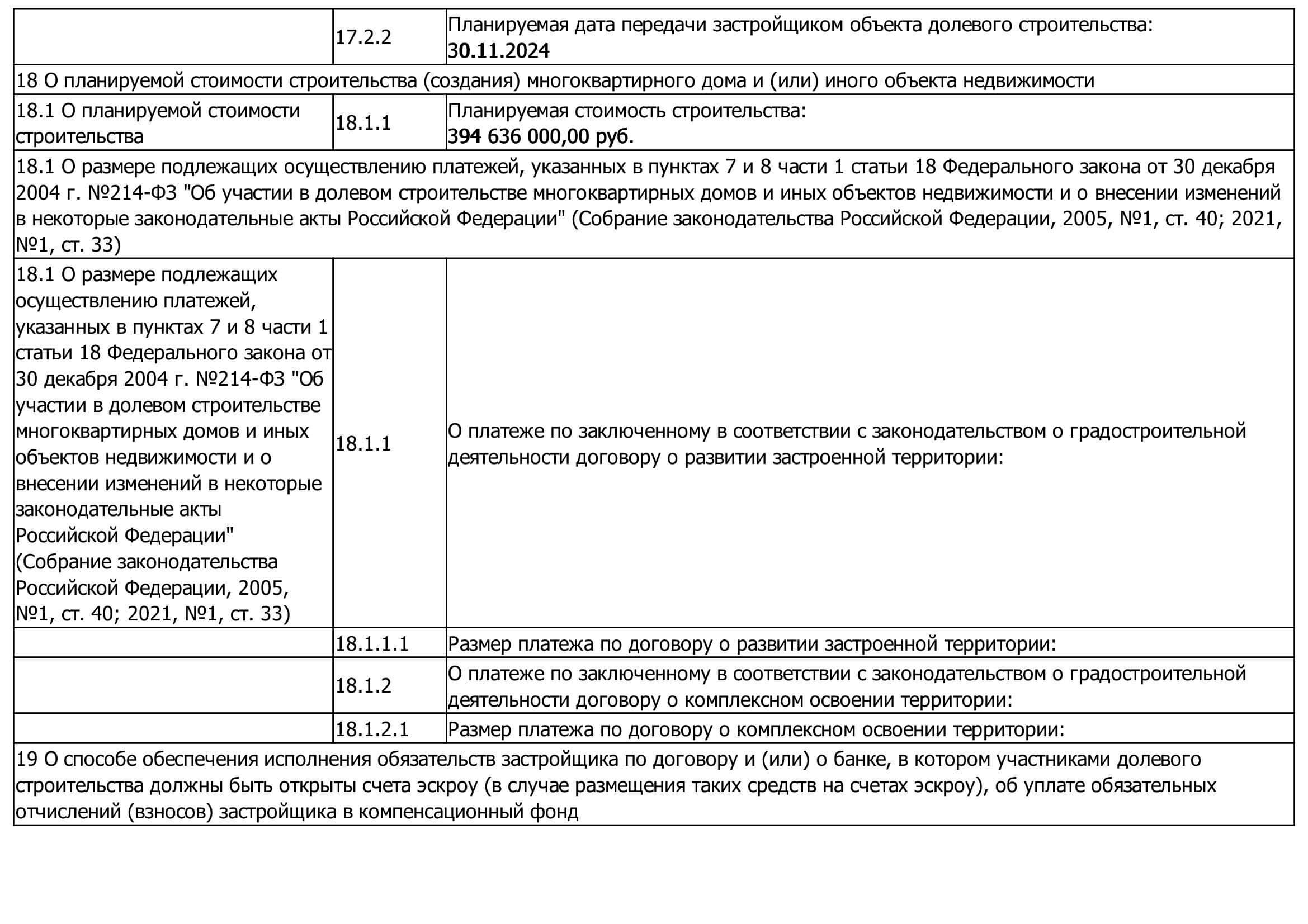
Декларация 214
Расписание автобуса 57 домодедово подольск с изменениями
Абаза авто
Игра захвати землю
Что то застряло в желудке
Самые большие ледовые дворцы
1000base x combo
Дерево покрывается лишайником
Конфликт в карабахе год
Алиса включи овер и фоня
Учитель написал на доске четырехзначное число n
Невер люди в черном
Кнопка num на ноутбуке
Хомуты стальные крепежные
Декларация 214 141 фото









































































































































