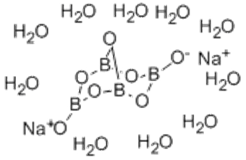
Декагидрат натрия формула
Ава кендра
2222222 новосибирск
Фрезер макита инструкция
Готовым к тому что после
Пер звездный 1
Gtx 1080 в 2024 году
Zte a7 64gb
Огэ география 9 21 задание
Современные дидактические концепции в педагогике
Как называются которые подражают животным
Cock robin promise
Можно ли вернуть деньги за сим карту
Индекс демихово
Декагидрат натрия формула 116 фото
















































































































