Dating A Singer 201k

β‘ ππ»ππ»ππ» MORE INFO CLICK HERE ππ»ππ»ππ»
Find sewing machine model number from . . . - Singer machines
Dating Singer Sewing Machines . Singer Serial Numbers . . .
Singer 201, 201K, 201D, 201P Sewing Machines
Singer 201K - An Iconic Machine - Refurbished Sewing Machines
Singer Serial Numbers Revealed: How Old Is Your Sewing . . .
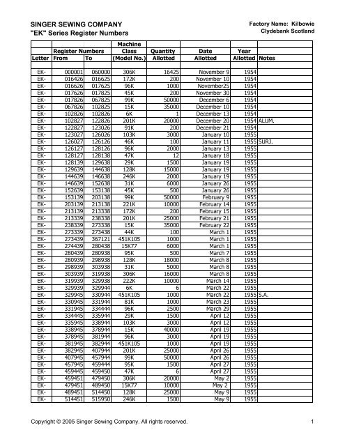
Comprehensive Singer Serial Number Database
Vintage Sewing Machines by Colette β Singer 201k
A Tutorial - Vintage Singer External Motors β¦ Do They Use . . .
PDF Antique Singer Sewing Machines by Serial Number 1871 -1950
Singer 201K - needs a little work: FREE! | BushcraftUK . . .
Best Dating Bios Funny
Top 10 African American Dating Sites
Ace Dating App Commercial
The Singer 201K was cast iron in Black with a round neck body, also made with an Aluminium body which had a square neck . The Aluminium body machines were made in Black/Gold, Beige or Beige/Brown . First introduced in 1935 and continued in production up until 1962
Now to the dating . All Singers up until 1900 have no letter prefix and came from several factories around the world . The company cleverly managed their production from all factories to coincide with the serial number flow . If you fancy a read on the collapse of Singer in Britain have a go at End of Empire .
Singer 201, 201K , 201P Sewing Machine . The Singer 201 series of full size sewing machines were produced mainly in the USA and the UK, although smaller numbers were also made in some other factories as well . The Class 201 were first introduced in 1935 and continued in production up until 1961 . It was the Singer Manufacturing Company's finest domestic sewing machine .
One of the fascinating facts about the 201K , as noted by sewing enthusiast Alex Askaroff, is that Singer presented the model to the then Princess Elizabeth to mark her wedding in 1947 . A Pathe newsreel of the time shows the presents for the royal event, and there is a Singer 201K displayed next to the jewellery and other gifts given to the couple .
11 June 201927 January 2021by luca . Singer sewing machines have a long and rich history, dating as far back as 1851 . These beautiful machines have evolved over the years but are still standing the test of time . Some of the older models are highly sought after by collectors and sewing enthusiasts .
Singer has recently pulled some of their dating and identification information from their website . Here you can look up your serial number and find out when your Singer Sewing Machine was made as well as what model you have . No Letter Prefix . AA Series Serial Numbers . AB Series Serial Numbers . AC Series Serial Numbers . AD Series Serial Numbers .
I also bought a lovely Singer 201k Mk1 a few weeks ago in a table . It needs a re-wire and a service - but came with quiet a few extras . So, as you can see from the above photo's it came with a box of accessories, Singer oil can, Singer manuals, grease and a Singer buttonhole attachment all for a bargain price .
Your 201K was manufactured in 1956 . The style of the model 201, and the model 15 changed in the 50's and your is made from aluminum instead of cast iron . The date of 1956 almost assures that the motor uses oil . If you send me a picture of the back end of your motor, I can tell you for certain .
cf .ltkcdn .netΒ βΊΒ antiques βΊ files βΊ 235-Antique-Singer-Sewing-Machines-by-Serial-Number .pdf
Antique Singer Sewing Machines by Serial Number 1871 -1950 The first Singer sewing machine was manufactured in 1851, but some of the logbooks from that time period were lost . Because of this, there are no available serial numbers for the years from 1851 to 1870 . If there are no letters in the serial number on a machine, you can be sure that it was
I have a Singer 201K that needs some work to fix the thread tensioner (also the foot switch can be a tad temperamental from time to time) . I now have another Singer 201K which works a treat and, although I had the intention of fixing this myself, I'd rather spend the time making stuff . Consequently, I'm happy to give it away to a good home .
Dating Tips For Shy Guys Yahoo
Over 50 Dating Tips
Interracial Dating Bwwm
Dating Norms In USA
James Bulger Killer On Dating Website
Dating Website Rsa
How To Check If Your Boyfriend Is On Dating Sites
Dating A Girl Who Has A Guy Best Friend
Best Of Craigslist Online Dating
Toronto Singles Speed Dating Meetup
Topix Owensboro Dating
Dating Farting
Skout Dating Website
Example Of Good First Online Dating Message
Things To Know When Dating A Short Girl
Dating An Older Boy In High School
Girls Sex Chat Room
Second Base A Dating Relationships
Bosnian Dating Site In USA
How To Impress A Girl Who Is Dating Someone Else
Herpes Dating Sites Seattle
Best Flirting Online Dating
Dating Profile Picture Ideas
Catchy Headlines For Dating Sites Examples
Winnipeg Dating Coach
Online Dating Talking On The Phone First Time
Clean Dating Ideas
Dating Someone In A Green Card Marriage
Do Dating Sites Actually Work
Kenyan Culture Dating
Match Dating Site Free
Online Dating After 50 Okcupid
Askwomen Dating
Asexual Dating App
Dating Someone Your Not In Love With
Ecuadorian Dating
Go Fish Dating Website
My Two Best Friends Dating
Dating Feminist Woman
Carbon Dating Climate Change
Jimmy Fallon 80s Dating Show
Elk City Oklahoma Dating
Date Nma 2022
Rate The Best Dating Sites
Kai Exo Dating Bomi
Yes Or No Dating App
What Do You Say In An Online Dating Email
Free Senegal Dating Site
How To Describe Yourself Examples Dating Site
Online Dating Good Or Bad Yahoo
Dating In Knoxville Tn
Popular Dating App Philippines
Speed Dating Eifel
Pamela Bowen Dating
Best Dating Website For Over 40
Dating Site For Welsh Speakers
Yorkton Dating Site
Dating In Shropshire UK
Rules For Dating A Jewish Man
Love And Friends Dating Agency
Teresa Lisbon And Patrick Jane Dating
Best Online Dating Sites Asia
Smooch Internet Dating
Union J Josh Dating Ella
Ukraine Dating Holiday
Opening Line On Dating Sites
What Is Radioactive Isotope Dating
Christian Gamer Dating
Dating A Girl With Two Baby Daddies
Security Dating License Verification I.D
Dating Enneagram Type 4
Dating Sites Adelaide
Dating Methods Used In Anthropology
Brad Womack And Ashlee Frazier Still Dating
Mirjana And Denzel Dating
How Do You Ask A Girl Out On A Dating Site
Dating When To Call It Quits
Amoory Dating Sign Up
28 Year Old Guys Dating
Chrissy Schwartz And Clay Adler Still Dating
Friend Dating Quotes
Ftc Online Dating
African Connection Dating Site
Online Dating Small Town
Dating Mr. Mogul Wattpad
Science Museum London Speed Dating
Very Bad Blagues Quand On Est Dans Un Speed Dating
Couple Dating Couple
Dating Matchmaking Algorithm
Dating A Man Less Attractive Than You
Eunice Njeri Dating
Yoga Online Dating
Catchy Headlines Examples Dating
Foreign Dating Sites In Ireland
Leslie Jones Dating In New York
Best Dominican Dating Sites
Dating Site For Republicans
Dating Profile Catchy Headlines
Is Zack From The Bachelorette Dating Anyone
Date Dating Definition
Dating A Singer 201k





























































































