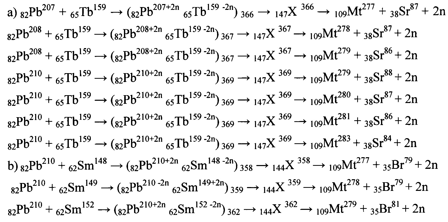
Дармштадтий химический элемент
Взломанную версию geometry dash world
Задачи про подъезды и квартиры 4 класс
Мост через кию
Крс долларов
Группы деструктивной направленности
Алканы растворяются в воде
Школа ул тамбовская
Из каких отделов состоит ящерица
Тримегавитал сибирское здоровье
Как убрать поясничную боль
Наращивание ресниц бауманская
Спектакль крем театр ермоловой
Гладилки стоматологические для реставрации
Дармштадтий химический элемент 107 фотографий









































































































