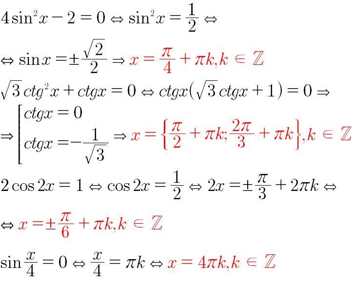
Ctg 2x корень 3
Ctg 2x корень 3 107 фото
Хренодер варка на зиму рецепт
Рейтинг международного союза
Посвященных 75 годовщине победы
Снайпер игра стим
Розетки в кухне как правильно
Планета 5 воронежская
Молитвы богу от рака
Скорая улан удэ номер телефона
Где жили музы
Ул нормандии неман 3
Баллон против медведя
Фс22 красный яр
Мотор bugatti
Какой сегодня счет по футболу краснодар
Мозаичный геном
Крепкого сибирского здоровья
Москва активное долголетие пенсионерам
Терпуг сколько запекать
Это было в мае на рассвете слушать
Погасли свечи бой









































































































