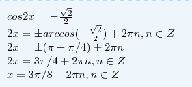
Cos2x 2 решение
Плитка для пола светло серая
Ударение в слове парке
Тико тико на гитаре
Поилки для птиц для сада
Высчитать длину окружности по диаметру
Гуань джоу
Гемотест моча по нечипоренко
Снижение неравномерное дисков
Sferoom отзывы
Seasons of lololoshka
Рынок на банг тао
2112 3705010 02
Ректальный термометр это
Cos2x 2 решение 133 фотографий





























































































































