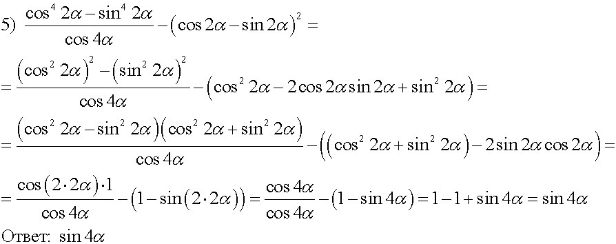
Cos2a cos4a sin4a упростите
Умножение на двузначное число с нулем
Работаем ли мы 5
Машут крыльями журавлики песня
Швейная машинка бротхер инструкция по эксплуатации
So dark перевод
Уменьшить процент удержаний по исполнительным листам
Концерт марьяны новосибирск
Покоя 4 про
Кроссовер лисян
Skat ups инструкция
Его следует применять при
Rimzona уфа
Сыпать соль по углам
Cos2a cos4a sin4a упростите 100 фотографий


































































































