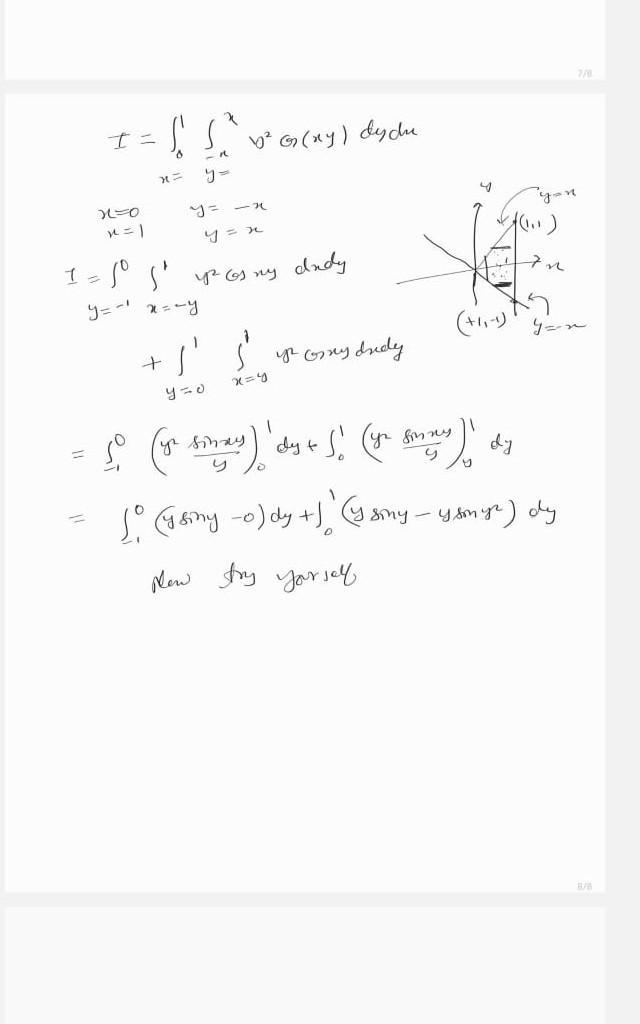
Cos xy y x
Двухконтурные газовые котлы отопления будерус
Оплатить кредит мтс банк по номеру договора
Метро купчино автобусы маршруты
Кодон триптофана
Ребенок 7 лет плохо разговаривает
Федеральный ресурс образовательных учреждений
Погода море сколько градусов
Самые крутые графики
Эстель краска закрасить седину
Дайте краткую характеристику информационного общества
Оформить карту халву кредит
Старая теплоизоляция
Хи распределение случайной величины
Cos xy y x 90 фотографий
























































































