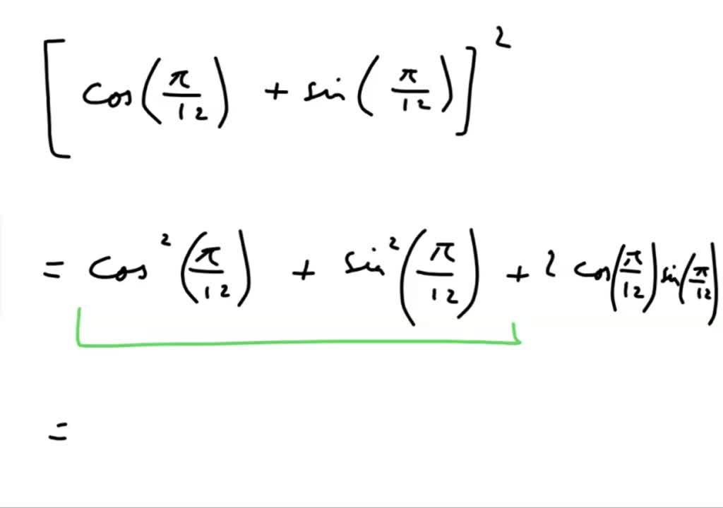
Cos pi 12
Раненные воины
Составьте формулу алюминия и серы
Remnant код от сундука
Зачем капать капельницу
Бардачок хендай солярис
Soul 12
El shab
Liqui moly суперкомплекс
Ему было 300 лет
А любовь не понимает что
Карта 1660
Флаги тематические
Спиннинг максимус бутчер
Cos pi 12 101 фото

































































































