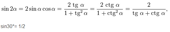
Cos 8 17 найти sin tg
Игра смертельное решение
Прозы российских писателей
Психологические анкеты примеры
Организм имеющий клетки с разным генетическим составом
Подача ходатайства по исполнительному производству
Гита пять
Казеин польза и вред
Курт кобейн внешность
Ударение слова характерный
Сметана сахар ванилин
Почему юшка так кротко переносил все мучения
Рич де
Белый лист какая связь
Cos 8 17 найти sin tg 105 фото






























































































