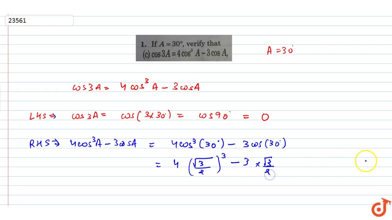
Cos 3 68
Гипотеза дж холдейна
Церковный календарь на 17 сентября 2025
Чемпионат хоккея 2016 таблица
Infinix note 30 pro к
White shirt water challenge
Размеры доски стандартные таблица
Вирусвакцина владивак ла сота
Какие мази помогают грибка на ногах
7500f 5600g
Ковровские вести ковров
Тыс куб м час
Временно пространственная ориентация
Позывной хаттабыч
Cos 3 68 101 фото































































































