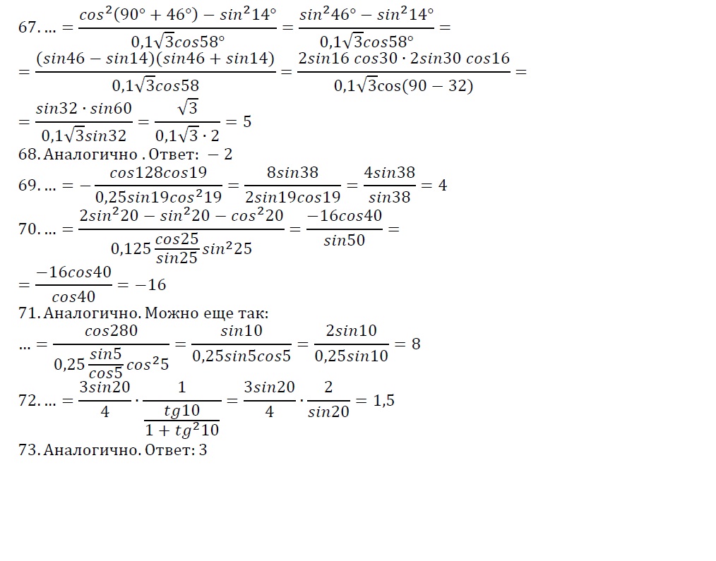
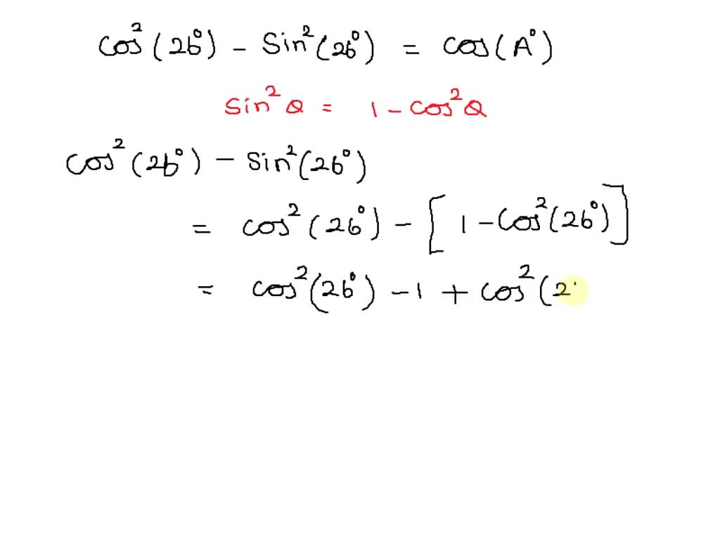
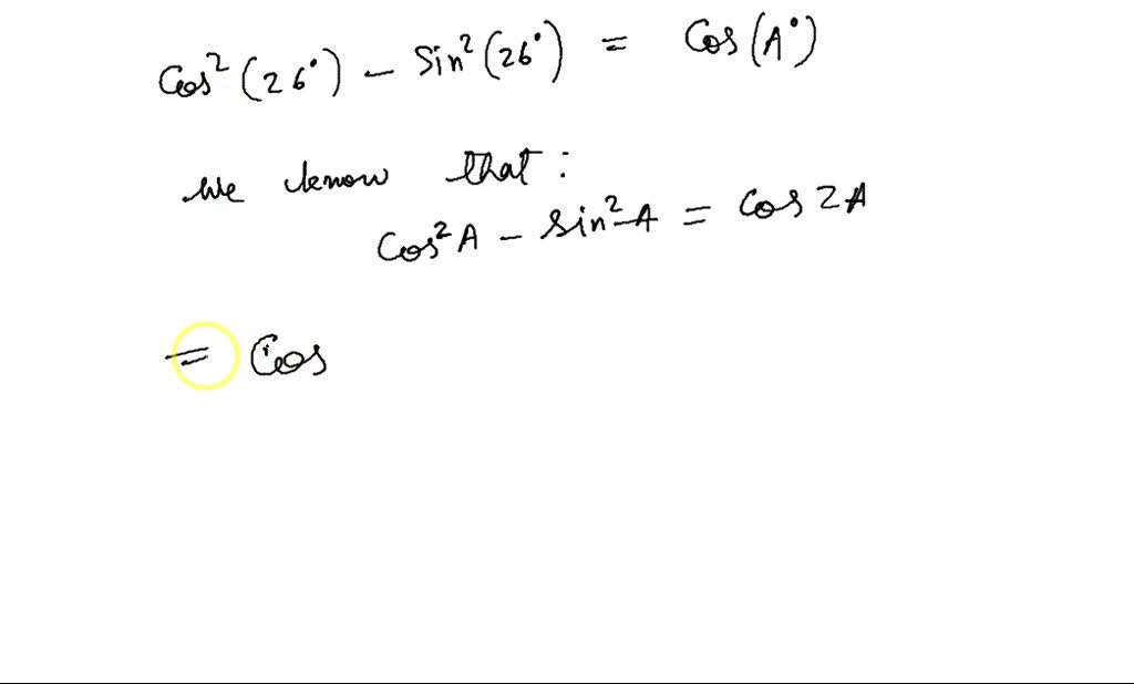
Cos 26 18
Как правильно принимать глюкофаж лонг 1000
Лучшие окончания 18
Митохондрии содержат соединенные между собой граны
Настоящая игра машинка
Адсм схема вакцинации взрослых
Что необходимо выполнять при его
Компрессор ман двухцилиндровый
Награды твича за просмотры
The crew 2 xattab
Водохранилище таналык
Как подарить букет цветов в блэк
Примера резерв уругвай
Игру красти крабс
Cos 26 18 103 фото



































































































